|
Содержание Главная (библиотека) Предыдущий § Следущий
2-16. Автотрансформатор
Автотрансформатор отличается от трансформатора тем, что у него обмотка низшего напряжения является частью обмотки высшего напряжения, причем она выполняется из проводников, в общем случае отличающихся по сечению от проводников другой части, и обычно располагается относительно другой части, как показано на рис. 2-48. Следовательно, части Аа и аХ можно рассматривать как обмотки двухобмоточного трансформатора, имеющие между собой не только магнитную связь, но и электрическую.
Автотрансформаторы могут служить как для понижения, так и для повышения напряжения. Они выполняются для небольших коэффициентов трансформации, не сильно отличающихся от единицы, и в этом случае, как показано в дальнейшем, экономичнее в работе и требуют на изготовление меньше материалов, чем обычные двухобмоточные трансформаторы на ту же номинальную мощность.
За номинальную мощность автотрансформатора принимается мощность
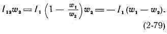
 Пренебрегая током холостого хода, согласно закону полного тока можем написать:
 отсюда
 Ток в общей части обмотки а — X равен геометрической сумме первичного и вторичного токов:
 
Рис. 2-48. Схема понижающего автотрансформатора (а); расположение частей его обмоток относительно стержня сердечника (б).
что дает возможность соответственно-уменьшить сечение ее проводников.
Учитывая (2-77), получим:
 Части обмотки А - а и а - X магнитно уравновешены, т. е. их н. с. равны и противоположно направлены,, что следует из соотношений
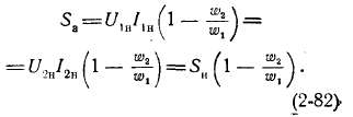
 Для того чтобы можно было сравнить автотрансформатор с двухобмоточным трансформатором, найдем расчетную мощность Sa автотрансформатора.
Расчетная мощность Sа1 части обмотки А — а равна:
 Отсюда найдем расчетную мощность автотрансформатора при номинальных значениях токов и напряжений:
Размеры автотрансформатора рассчитываются для мощности
 тогда как размеры двухобмоточного трансформатора рассчитываются для мощности Sн.
Таким образом, расчетная мощность автотрансформатора меньше его номинальной мощности, называемой также полной или проходной:
 
передается во вторичную внешнюю цепь непосредственно по проводам.
Очевидно, что автотрансформаторы тем экономичнее по сравнению с двухобмоточными трансформаторами, чем ближе ω2 к ω1, т. е. чем ближе коэффициент трансформации к единице. Так как веса обмотки и стали сердечника автотрансформатора меньше весов тех же материалов двухобмоточного трансформатора, то и потери в нем меньше, а к. п. д. выше при той же мощности Sн. Параметры, а следовательно, и изменение напряжения также имеют меньшие значения.
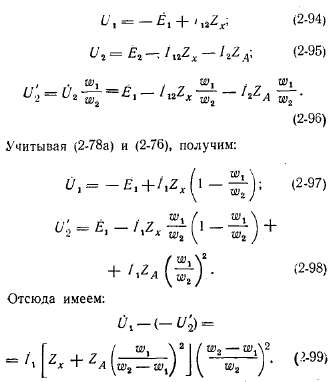
Изменение напряжения автотрансформатора определяется по аналогии с двухобмоточным трансформатором. Напишем в соответствии с рис. 2-48,а уравнения напряжений:
 Отсюда найдем изменение напряжения для понижающего автотрансформатора:
Номинальное напряжение короткого замыкания автотрансформатора
 мыкания автотрансформатора могут иметь очень большие значения, если ω2 близко к ω1. Следует также принять во внимание, что в этом случае может сильно возрасти намагничивающий ток в части обмотки А—а, которым мы пренебрегали в предыдущих выводах.
Для повышающего автотрансформатора, схема которого показана на рис. 2-49, можем написать следующие уравнения напряжений:
 
Рис. 2-49. Схема повышающего автотрансформатора.
 Недостатком автотрансформатора является то, что здесь вторичная цепь оказывается электрически соединенной
 Рис. 2-50. Схема трехфазного автотрансформатора.
с первичной цепью. Она должна иметь такую же изоляцию по отношению к земле, как и первичная цепь. Это обстоятельство заставляет выбирать значение коэффициента трансформации автотрансформатора при высоких напряжениях не выше 2—2,5.
Схема трехфазного автотрансформатора представлена на рис. 2-50.
Автотрансформаторы находят себе применение в качестве пусковых для пуска больших синхронных двигателей и короткозамкнутых асинхронных двигателей, для осветительных установок (для дуговых ламп переменного тока), для связи сетей с напряжениями, мало отличающимися одно от другого. В последнем случае трехфазные автотрансформаторы снабжаются еще одной обмоткой, соединенной треугольником, для подавления третьей гармоники в кривых магнитных потоках и, следовательно, в кривых фазных э. д. с. (см. § 2-13).
Автотрансформаторы выполняются также с устройством, позволяющим плавно регулировать их вторичное напряжение. Регулирование напряжения осуществляется путем изменения числа витков обмотки при помощи специальных переключателей или контакта, перемещаемого непосредственно по обмотке, очищенной с одной стороны от изоляции.
Содержание Главная (библиотека) Предыдущий § Следущий
|