|
Содержание Главная (библиотека) Предыдущий § Следущий
2-15. Определение параметров трансформатора расчетным путем
 
Активное сопротивление короткого замыкания
 Потери в обмотках при номинальных токах (сюда же относятся и потери, вызванные полями рассеяния)
 Формулы для потерь можно преоб разовать следующим образом:
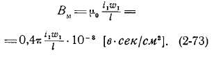
 Расчет индуктивных сопротивлений рассеяния х1 и х2 может быть произведен только приближенно, так как не представляется возможным точно установить распределение поля рассеяния. Мы рассмотрим метод расчета х1 и х2 для цилиндрических обмоток. Они в разрезе с одной стороны стержня показаны на рис. 2-47. Здесь же показана часть
 Рис. 2-47. К расчету хк=х1+х'2 (см. рис. 2-13).
стержня, на котором помещены обмотки.
Мы считаем, что поле рассеяния создается н. с. i1ω1 и равной ей н. с. i2ω2 = i2'ω1 (пренебрегаем при этом н. с. i0ω1) и что индукционные линии этого поля направлены, как показано на рис. 2-47, параллельно стенкам обмоток, равным по высоте. Примем, что магнитные сопротивления индукционных трубок поля обусловлены только их частью вдоль обмоток и промежутка между ними. Магнитным сопротивлением остальных частей индукционных трубок пренебрегаем. Кривая н. с, создающей поле рассеяния, в этом случае изобразится трапецией, а так как μ для воздуха (или масла), меди и изоляции — величина постоянная, тс кривая распределения индукции вдоль пунктирной линии также изобразится трапецией.
Найдем индуктивность рассеяния первичной обмотки:
 Будем условно считать, что потоко-сцепление, определяющее Lσ, создается индукционными линиями, находящимися слева от штрих-пунктирной линии, разделяющей промежуток 6 пополам. Оно рассчитывается следующим образом.
 
Индукция в промежутке между обмотками
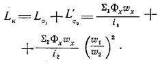
 Индуктивность короткого замыкания
 Подставляя сюда (2-71) — (2-73), получим:
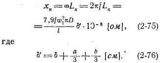
Следовательно, индуктивное сопротивление короткого замыкания
 Мы видим, что хк зависит от геометрических размеров δ, а, b, l. Однако в нормальных трансформаторах эти размеры выбираются таким образом, чтобы обеспечить надежную работу трансформатора (достаточные изоляционные расстояния и охлаждение) и получить по возможности меньший расход металлов. Наиболее радикальным способом изменения хк является изменение ω1. Число витков ω1 зависит от потока Фм, следовательно, от сечения Sc (Фм = ВcSc).
Выбор этого сечения должен производиться таким образом, чтобы получились надлежащие, значения Фм, w1, хк и uк.
Высоты обмоток всегда выбираются по возможности равными друг другу. Только при таких обмотках поле рассеяния распределяется в соответствии с рис. 2-47. В противном случае оно возрастает, что нежелательно из-за увеличения хк, увеличения потерь от полей рассеяния и возрастания электромагнитных сил, действующих на обмотки при внезапном коротком замыкании (§ 2-20,б).
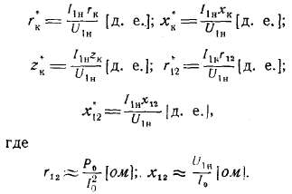
Параметры трансформатора можно выразить в долях сопротивления, принимаемого за единицу и равного от-
ношению номинальных фазных напряжения и тока U1н/I1н. Тогда они будут выражены в долях единицы (д. е.) или в относительных единицах. Будем их обозначениям приписывать звездочку наверху справа:
 В относительных единицах могут быть выражены токи, напряжения, мощности:
 Процентные значения параметров получим, если их значения в относитель-тельных единицах умножим на 100. Очевидно, что r*k ·100 = uя, x*k · 100 = up; z*k · 100 = uk.
Значения указанных величин для нормальных силовых трансформаторов в зависимости от номинальной мощности и верхнего предела номинального высшего напряжения приведены в табл. 2-1 (I0%. = I0/Iн · 100).
Таблица 2-1
|
Sн
|
10
|
100
|
1000
|
10000
|
60000
|
ква
|
|
Uн
|
6,3
|
6,3—35
|
10—35
|
38,5—121
|
121
|
кв
|
|
I0%
|
10
|
6—8
|
5—5,5
|
3—3,5
|
2,7
|
%
|
|
uа
|
3,35
|
2,4
|
1,5
|
0,92—0,97
|
0,5
|
%
|
|
up
|
4,36
|
4,94—6,05
|
5,3—6,25
|
7,45—10,5
|
10,5
|
%
|
|
uk
|
5,5
|
5.5—6,5
|
5,5—6,5
|
7,5—10,5
|
10,5
|
%
|
|
r*12
|
1,05
|
1,42
|
1,96—1,68
|
3,23—3,14
|
3,7
|
д. е.
|
|
x*12
|
10
|
16,6—12,5
|
20—18,2
|
33,3—28,7
|
37
|
д. е
|
Содержание Главная (библиотека) Предыдущий § Следущий
|