|
Содержание Главная (библиотека) Предыдущий § Следущий
2-17. Трехобмоточный трансформатор
а) Общие сведения. Большие трансформаторы, устанавливаемые в начале или конце длинных линий электропередачи и иногда на мощных промежуточных подстанциях, часто выполняются с тремя обмотками на каждую фазу, причем одна из них обычно служит в качестве первичной, а две другие — в качестве вторичных (рис. 2-51).
 Рис. 2-51. Трехобмоточный трансформатор.
Например, на электрических станциях, от которых отходят две линии электропередачи, часто устанавливаются трехобмоточные трансформаторы с первичным напряжением 10,5 кв и вторичными напряжениями 121 и 38,5 кв (для линий электропередачи).
Трансформаторы с тремя (и больше) обмотками малой мощности применяются также в радиотехнических устройствах.
Трехобмоточный трансформатор заменяет собой два двухобмоточных трансформатора. Его применение, очевидно, выгоднее, чем последних.
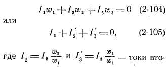
Если пренебречь током холостого хода, то можно написать, что сумма н. с. всех трех обмоток равна нулю:
 рои и третьей обмоток, приведенные к числу витков первой обмотки.
Пусть первая обмотка будет первичной, а вторая и третья — вторичными. Из (2-105) получаем;
 т. е. первичный ток равен не арифметической, а геометрической сумме приведенных вторичных токов (взятой с обратным знаком). Учитывая это равенство, а также то, что вторичные обмотки обычно не имеют одновременно и длительно полной нагрузки, номинальная мощность первичной обмотки берется меньше суммы номинальных мощностей обеих вторичных обмоток.
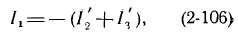
б) Уравнения напряжений и схема замещения. Будем по-прежнему считать первую обмотку за первичную, а две другие обмотки — за вторичные и примем, что все обмотки имеют одинаковые числа витков: ω1 = ω2 = ω3.
В этом случае согласно (2-104)
имеем:
Уравнения напряжений обмоток напишутся в следующем виде:
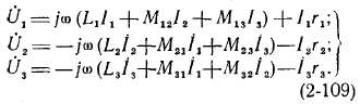
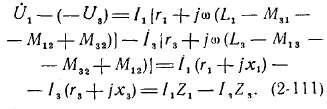
 Учитывая (2-107), найдем из 1-го и 2-го уравнений (2-109) падение напряжения в обмотках 1—2:
 Учитывая (2-108), из 1-го и 3-го уравнений (2-109) найдем падение напряжения в обмотках 1—3:
 Для каждой пары обмоток имеем равенства:
 Полученные в (2-110) и (2-111) величины
 условно могут рассматриваться как индуктивные сопротивления рассеяния обмоток; каждое из них обусловлено индуктивностью обмотки и взаимными индуктивностями всех трех пар обмоток.
Из (2-110) и (2-111) следует:
 
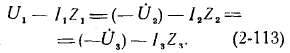
Рис. 2-52. Схема замещения трехобмоточного трансформатора.
 Рис. 2-53. Схемы трех опытов короткого замыкания для трехобмоточного трансформатора.
Равенствам (2-113) соответствует схема замещения трехобмоточного трансформатора, представленная на рис. 2-52. Ее параметры могут быть определены как опытным, так и расчетным путем.
При опытном определении Z1, Z2, Z3 нужно иметь данные трех опытов короткого замыкания.
При первом опыте замыкается накоротко обмотка 2, обмотка 3 оставляется разомкнутой, пониженное напряжение подводится к обмотке 1 (рис. 2-53,а): измеряются, так же как при опыте короткого замыкания двух-обмоточного трансформатора, U, I, Р. По данным измерений находим:
 При втором опыте замыкается накоротко обмотка 3, обмотка 2 остается разомкнутой, пониженное напряжение подводится к обмотке 1 (рис. 2-53,б). По данным измерений находим:
 При третьем опыте замыкается накоротко обмотка 3 (или 2), обмотка 1 остается разомкнутой, пониженное напряжение подводится к обмотке 2 (или 3) (рис. 3-53,в). По данным измерений находим:

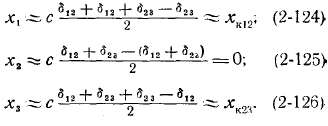
 Если в (2-120) —(2-122) подставить соответственно двухобмоточному трансформатору
 
Рис. 2-54. К определению х1, x2, х3.
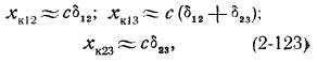
При расчетном определении параметров трехобмоточного трансформатора сначала рассчитываются хк12, хк13 и хк23 так же, как для двухобмоточного трансформатора [формула (2-75)], затем по (2-120) —(2-122) определяются х1, х2, х3. Расчет r1, r2, r3 производится обычными методами. Отметим особенности трехобмоточного трансформатора, имеющего коаксиальное расположение обмоток, наиболее часто применяемое на практике (рис. 2-51). Здесь следует различать одностороннее расположение вторичных обмоток относительно первичной, когда первичной является обмотка / или 3, и двустороннее расположение вторичных обмоток относительно первичной, когда первичной является обмотка 2. В первом случае изменение нагрузки одной вторичной обмотки заметно влияет на напряжение другой вторичной обмотки, во втором случае это влияние почти исчезает. Сказанное может быть подтверждено следующими приближенными расчетами.
Примем, что толщина каждой обмотки бесконечно мала, длины их по оси одинаковы и что диаметры окружностей D12, D13, D23 приблизительно равны между собой (рис. 2-54). Тогда в соответствии с формулой (2-75) можем написать:
 где с — согласно допущениям постоянная величина.
Если подставить в (2-120)—(2-122) приближенные равенства (2-123), то получим:
 В действительности при учете толщины обмоток и различия D12, D13, D23 величина х2 получается немного отличающейся от нуля (часто имеет отрицательное значение), но все же она обычно в десятки раз меньше x1 и x3. Приведенные соотношения лишний раз подтверждают условный ха-
 на рис. 2-55,а, б и в построены векторные диаграммы трехобмоточного трансформатора. При помощи этих диаграмм могут быть определены изменения вторичных напряжений:
 

Рис. 2-55. Векторные диаграммы трехобмоточного трансформатора (к определению изменения вторичных напряжений).
 в формуле (2-131).
г) Соотношение мощностей. За номинальную мощность трехобмоточного трансформатора принимается мощность наиболее мощной обмотки. К этой мощности приводятся все напряжения короткого замыкания uк12, uк23, uк13, которые указываются на щитке трансформатора. Для трехфазных трехобмоточных трансформаторов обычно применяется схема соединения обмоток Y0/Y0/Δ-12-11, а для однофазных— 1/1/1-12-12.
Мощности отдельных обмоток устанавливаются в зависимости от условий эксплуатации. Наиболее часто встречаются следующие соотношения мощностей отдельных обмоток в процентах от номинальной мощности:
|
1-я обмотка
|
2-я обмотка
|
3-я обмотка
|
|
100
|
100
|
100
|
|
100
|
100
|
66,7
|
|
100
|
66,7
|
100
|
|
100
|
66,7
|
66,7
|
Содержание Главная (библиотека) Предыдущий § Следущий
|