|
Содержание Главная (библиотека) Предыдущий § Следущий
2-8. Изменение вторичного напряжения
Вторичное напряжение U2 при нагрузке в общем случае отличается от вторичного напряжения U20 при холостом ходе. Изменение вторичного напряжения при переходе от холостого хода к нагрузке при U1н = const принято выражать в процентах номинального напряжения.
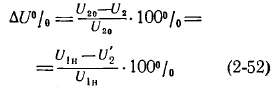
Полученное значение
 называется процентным изменением напряжения трансформатора. Оно может быть найдено при помощи векторной диаграммы, представленной на рис. 2-23 и соответствующей схеме замещения на рис. 2-24.
 Рис. 2-23. Упрощенная векторная диаграмма трансформатора (для определения изменения напряжения).
 
При многих практических расчетах можно пренебречь вторым слагаемым,
 Рис. 2-24. Упрощенная схема замещения (для определения изменения напряжения).
 Рис. 2-25. Диаграмма для определения mк и nк.
так как оно по сравнению с первым слагаемым незначительно.
При помощи диаграммы, приведенной на рис. 2-25, или при помощи фор-
 Рис. 2-26. Кривые ΔU% = f(β) при cos φ2=const.
 
Рис. 2-27. Кривая ΔU% = f(cos φ2) при β=const.
ные кривые приведены на рис. 2-26 и 2-27. Здесь отрицательные значения ΔU% при работе трансформатора с опережающим током соответствуют повышению напряжения при переходе от холостого хода к нагрузке (ср. с рис. 2-16).
Наибольшее значение ΔU% получается при cosφ2 = cosφк, что следует из рис. 2-23.
Содержание Главная (библиотека) Предыдущий § Следущий
|