|
Содержание Главная (библиотека) Предыдущий § Следущий
2-7. Опыт короткого замыкания
По данным опыта короткого замыкания определяются потери короткого замыкания Рк, которые могут быть приняты равными электрическим потерям в обмотках, и параметры транс-форматора, к которым приходится обращаться при решении многих практических задач.
Под коротким замыканием трансформатора здесь понимается такой режим его работы, при котором вторичная обмотка замкнута накоротко, а к первичной обмотке подведено напряжение. Этому режиму работы соответствует схема замещения (рис. 2-17) при Z'=0.
 
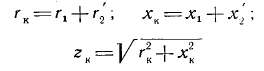
называются соответственно активным, индуктивным и полным сопротивлениями короткого замыкания трансформатора. Параметры короткого замыкания zk, rk и хk определяются по дан-еым опыта короткого замыкания. При этом опыте собирается одна из схем, приведенных на рис. 2-18 и 2-19, но вторичные зажимы замыкаются накоротко. Измеряют U1k, I1, Рk. Напря-
 Рис. 2-20. Схема замещения короткозамкнутого трансформатора.
 Рис. 2-21. Векторная диаграмма короткозамкнутого трансформатора.
жение U1k устанавливают такое, чтобы ток I1 был приблизительно равен номинальному току I1н. Оно для нормальных трансформаторов мощностью от 20 до 10 000 ква составляет от 5 до 10% номинального напряжения U1н. В соответствии с указанными значениями U1k и I1 подбирают при опыте короткого замыкания измерительные приборы.
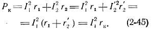
Так как при этом опыте Е1, а следовательно, и поток Ф (Е1≈0,5U1k, рис. 2-21) составляют всего несколько процентов от их значений при номинальном напряжении (а потери в стали приблизительно пропорциональны Ф2), то магнитными потерями можно пренебречь и считать, что мощность Рк, потребляемая трансформатором при коротком замыкании, идет на покрытие электрических потерь в обмотках трансформатора:
 
Рис. 2-22. Треугольник короткого замыкания.
Отсюда находим:
 Согласно ГОСТ активные сопротивления обмоток трансформаторов, по которым определяются электрические потери и активные падения напряжения, должны быть приведены к температуре 75° С. Это приведение делаем согласно соотношению
 
Процентное значение номинального напряжения короткого замыкания указывается на щитке трансформатора. Оно для нормальных трансформаторов лежит в пределах 5 — 10%. Также выражаются в процентах номинального напряжения реактивная и активная составляющие напряжения короткого замыкания:
 Если числитель и знаменатель правой части равенства (2-50) умножить на I1н и число фаз т, то получим:
 т. е. uа в то же время дает процентное значение электрических потерь в обмотках трансформатора или потерь короткого замыкания при номинальных токах.
Значения r1 и r2 могут быть измерены при постоянном токе, например при помощи амперметра и вольтметра. Полученные при этом сопротивления будут несколько меньше активных сопротивлений обмоток. Активные сопротивления больше сопротивлений, измеренных при постоянном токе, в 1,03—1,07 раза вследствие наличия вихревых токов в проводниках обмоток и в других металлических частях трансформатора, вызванных полями рассеяния.
Определить отдельно значения х1 и х2 довольно трудно. Практически достаточно найти только хк.
Содержание Главная (библиотека) Предыдущий § Следущий
|