|
Содержание Главная (библиотека) Предыдущий § Следущий
2-9. Потери и коэффициент полезного действия
При работе трансформатора в нем возникают потери — магнитные и электрические.
Магнитные потери, или потери в стали Рс, принимаются, как отмечалось, равными потерям холостого хода Р0. Они зависят от частоты тока, от индукций Вс в стержне и Вя в ярме сердечника, а также от весов стержней и ярм. Для уменьшения магнитных потерь и реактивной составляющей тока холостого хода сечение ярма берут несколько больше (на 5—10%) сечения стержня. Потери Р0 приблизительно пропорциональны квадрату индукции (В2) и частоте тока в степени 1.3 (f1,3).
Электрические потери, или потери короткого замыкания, пропорциональны квадрату тока.
Коэффициент полезного действия (к. п. д.) трансформатора имеет высокие значения: от 0,96 при S ≈ 5 ква до 0,0995 при номинальной мощности, составляющей десятки тысяч киловольт-ампер. Поэтому определение его непосредственным методом по формуле
 где Р2 — полезная (вторичная) мощность; Р1 — затраченная (первичная) мощность, практически не может дать точных результатов.
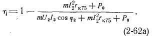
Так как потери в трансформаторе невелики, то следует определять к. п. д. трансформатора косвенным методом и пользоваться при этом формулой
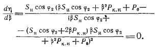
 В правой части (2-63) переменной величиной является только β. Обычным путем можно найти максимум функции η = f(β). Для этого приравняем ее первую производную нулю:
 В полученной дроби знаменатель при реальных значениях β не может быть равным бесконечности. Поэтому нужно приравнять нулю числитель. Отсюда найдем, что к. п. д. будет максимальным, когда потери короткого замыкания будут равны потерям холостого хода:
 т. е. при равенстве переменных потерь постоянным потерям (при изменении нагрузки практически изменяются только потери короткого замыкания).
Для трансформаторов, выпускаемых заводами Советского Союза, имеем:
 Следовательно, к. п. д. получается максимальным при нагрузке, составляющей 50—70% от номинальной. Такая нагрузка обычно и соответствует средней нагрузке при эксплуатации трансформатора.
При вычислении к. п. д. пользуются формулой

Содержание Главная (библиотека) Предыдущий § Следущий
|