<< Предыдущая |
Содержание |
Следующая >>
Закон Ома
§ 16. ЗАКОН ОМА
Соотношение
между э. д. с, сопротивлением и силой тока в замкнутой цепи выражается законом
Ома, который может быть сформулирован так: сила
тока в замкнутой цепи прямо пропорциональна электродвижущей силе и обратно
пропорциональна сопротивлению всей цепи.
Ток
в цепи протекает под действием э. д. с; чем больше э. д. с. источника энергии,
тем больше и сила тока в замкнутой цепи. Сопротивление цепи препятствует
прохождению тока, следовательно, чем больше сопротивление цепи, тем меньше
сила тока.
Закон
Ома можно выразить следующей формулой:

или

где
r — сопротивление внешней части цепи,
r0 —
сопротивление внутренней части цепи.
В
этих формулах сила тока выражена в амперах, э. д. с. — в вольтах, сопротивление
— в омах.
Для
выражения малых токов вместо ампера применяют единицу, в тысячу раз меньшую
ампера, называемую миллиампером (ма);
1 а — 1000 ма.
Сопротивление
всей цепи:

Если
под действием э. д. с. в 1 в в
замкнутой цепи протекает ток величиной
в 1 а, то сопротивление такой цепи
равно 1 ом, т. е. 1 ом =

Закон
Ома справедлив не только для всей цепи, но и для любого ее участка.
Если участок цепи не содержит источника энергии, то
положительные заряды на этом участке перемещаются из точек более высокого
потенциала к точкам более низкого потенциала. Источник энергии затрачивает
известную энергию, поддерживая разность потенциалов между началом и концом
этого участка. Эта разность потенциалов называется напряжением между началом
и концом рассматриваемого участка.
Таким
образом, применяя закон Ома для участка цепи, получим:

Закон Ома можно сформулировать следующим образом: сила тока на участке электрической цепи
равна напряжению на зажимах этого участка, деленному на его сопротивление.
Напряжение на участке цепи равно произведению силы
тока на сопротивление этого участка, т. е.
U =
Ir.
Из
выражения закона Ома для замкнутой цепи получим

где
Ir. — падение напряжения в сопротивлении
r., т. е. во
внешней цепи, или, иначе, напряжение на зажимах источника энергии (генератора)
U,
Ir0 —
падение напряжения в сопротивлении
r0., т. е. внутри источника энергии (генератора); оно
определяет часть э. д. с, которая расходуется на проведение тока через
внутреннее сопротивление источника энергии.
Для измерения силы тока в цепи используется прибор,
называемый амперметром
(миллиамперметром). Напряжение, как указывалось выше, измеряется вольтметром.
Условное обозначение амперметра и вольтметра показано на рис. 15, а. Для
включения амперметра цепь тока разрывается и в месте разрыва концы проводов
присоединяются к зажимам
амперметра (рис. 15, б).
Таким образом, через прибор проходит весь измеряемый ток; такое включение называется
последовательным. Вольтметр подключают к началу и к концу участка
цепи, такое включение
вольтметра называется параллельным.
Вольтметр показывает падение напряжения на данном участке. Если вольтметр подключить к началу внешней цепи — положительному полюсу источника энергии
и к концу внешней цепи— к отрицательному полюсу источника энергии, то он
покажет падение напряжения во всей внешней цепи, которое будет в то же время
напряжением на зажимах источника энергии.
Напряжение
на зажимах источника энергии (генератора) равно разности между э.д.с. и
падением напряжения на внутреннем сопротивлении этого источника, т.е.
U=E – Ir0 (25)
Если уменьшать сопротивление внешней цепи
r, то сопротивление
всей цепи r +
r0 также
уменьшится, а сила тока в цепи увеличится. С увеличением силы тока падение
напряжения внутри источника энергии (Ir0) возрастет, так как внутреннее сопротивление
r0 источника энергии остается неизменным. Следовательно,
с уменьшением сопротивления внешней цепи напряжение на зажимах источника
энергии также уменьшается. Если зажимы источника энергии соединить
проводником с сопротивлением, практически равным нулю, то ток в цепи
I = .
Это выражение определяет наибольший ток, который может
быть получен в цепи данного источника.
Если сопротивление внешней цепи практически равно
нулю, то такой режим называется коротким
замыканием.
Для источников энергии с малым внутренним
сопротивлением, например для электрических генераторов (электромашин) и кислотных
аккумуляторов, короткое замыкание весьма опасно —оно может вывести из строя
эти источники.
Короткое замыкание возникает довольно часто, например
из-за нарушения изоляции проводов, соединяющих приемник с источником энергии.
Лишенные изолирующего покрова металлические (обычно медные) линейные провода
при взаимном соприкосновении образуют весьма малое сопротивление, которое по
сравнению сопротивлением приемника может быть принято равным нулю.
Для защиты электротехнической аппаратуры от токов
коротких замыканий применяют различные предохранительные устройства.
Пример 1. Аккумуляторная батарея с э. д. с. 42
в и внутренним сопротивлением 0,2 ом замкнута на приемник энергии, имеющий сопротивление 4
ом. Определить силу тока в цепи и
напряжение на зажимах батареи.
Решение.

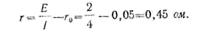
Пример 2.
Кислотный аккумулятор имеет э. д. с. 2 в
и внутреннее сопротивление- r0=0,05
ом. При подключении к аккумулятору
внешнего сопротивления протекает ток силой 4 а. Определить сопротивление внешней цепи.
Решение.

откуда

Пример 3. Генератор постоянного тока имеет внутреннее сопротивление
0,3 ом. Определить э. д. с.
генератора, если при включении его на приемник энергии с сопротивлением 27,5
ом на зажимах генератора устанавливается
напряжение 110 в.
Решение.
Силу тока, протекающую в замкнутой цепи, можно найти из следующего выражения:
а
Э, д. с. генератора равна:
Е=U+Ir=110+4·0,3=111,2
в.
Пример 4. Батарея
кислотных аккумуляторов с э. д. с. 220 в
и внутренним сопротивлением 0,5 ом
оказалась замкнутой накоротко. Определить ток в цепи.
Решение.

Так как для приведенного в примере типа аккумуляторной
батареи при нормальном (десятичасовом) разряде ток равен 3,6 а, то ток в 440
а является безусловно опасным для целости батареи.
<< Предыдущая |
Содержание |
Следующая >>
|