<< Предыдущая |
Содержание |
Следующая >>
Последовательное соединение сопротивлений
§ 17. ПОСЛЕДОВАТЕЛЬНОЕ СОЕДИНЕНИЕ СОПРОТИВЛЕНИЙ
Электрическая цепь может содержать несколько
приемников энергии, имеющих различные сопротивления.
Предположим, что
внешняя цепь генератора (рис. 16) состоит из трех приемников энергии с
сопротивлениями, соответственно равными
r1,
r2,
r3. Такое
соединение приемников, при котором каждый из них поочередно включен в одну замкнутую
электрическую цепь, называется последовательным.
Очевидно, что ток при этом во всех приемниках одинаков, а сопротивление
внешней цепи равно сумме сопротивлений проводников. Сопротивление прямо
пропорционально длине проводника и включение нескольких проводников увеличивает
длину пути тока, т.е. увеличивается сопротивление.
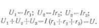
Для нашего
случая формула закона Ома имеет следующий вид:
Таким
образом, при наличии трех последовательно соединенных проводников общее
сопротивление цепи
а
сопротивление внешней цепи
Напряжение, на зажимах источника энергии равно
напряжению, приложенному к внешней цепи, т. е.
где
Ir0 – падение напряжения на внутреннем сопротивлении источника энергии.
Напряжение на зажимах последовательно соединенных
приемников энергии равно произведению силы тока на сопротивление приемника, т.е

Таким
образом, сумма напряжений на последовательно включенных приемниках равна
напряжению на зажимах источника энергии.
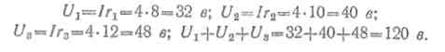
Пример. Три
приемника с сопротивлениями r1=8
ом, r2=10 ом и
r3=12
ом соединены последовательно и
включены в сеть постоянного тока с напряжением U= 120 в. Сила тока в такой цепи
Напряжения на зажимах приемников энергии равны:
Так как на всех участках
цепи, состоящей из последовательно соединенных
приемников, сила тока одинакова, то напряжения пропорциональны их сопротивлениям или обратно
пропорциональны проводимостям, т. е.
U1:
U2:
U3 = = r1 : r2 :r3 = : :
При неизменном напряжении
сила тока зависит от сопротивления цепи. Поэтому изменение сопротивления
одного из последовательно включенных приемников влечет за собой изменение как
общего сопротивления всей цепи, так и силы тока в ней. При этом изменяется
напряжение на всех приемниках.
Если в вышеприведенном примере
изменить сопротивление одного из приемников, например, первого до
r1= 18 ом (вместо 8 ом), то сила тока в
цепи

и напряжения на зажимах приемников.
U1=Ir1=3·18=54 в;
U2=Ir2=3·10=30 в;
U3=Ir3=3·12=36 в;
Увеличение сопротивления внешней цепи ведет к уменьшению
силы тока и, следовательно, уменьшает
падение напряжения на всех участках внешней цепи. Положим, что приемник с сопротивлением
r=6 ом подключен к
источнику электрической энергии
с напряжением U=24 в. В этом
случае сила тока в приемнике
Если последовательно с этим
проводником включить второй с сопротивлением г’=2 ом, то сила тока в
цепи будет:
и напряжение на первом приемнике
Последовательное
включение добавочных сопротивлений (или резисторов)
используется на практике для понижения напряжения (пусковые и регулировочные
реостаты). Добавочные сопротивления также применяют для расширения пределов
измерения измерительных приборов, например, вольтметров.
Пример 1. К зажимам генератора
постоянного тока с внутренним сопротивлением
0,5 ом подключены последовательно соединенные приемники энергии, обладающие
сопротивлениями 3; 2 и 1,5 ом. Определить сопротивление всей цепи и
внешнее сопротивление.
Решение.
Сопротивление всей цепи
Сопротивление
внешней цепи
Пример 2. Вольтметр с внутренним сопротивлением
r0=2000 ом
предназначен для измерения напряжения
до 50 в. Определить величину добавочного сопротивления, которое
нужно включить последовательно с вольтметром для того, чтобы этим вольтметром
можно было измерять напряжение до 200 в.
Решение. При включении в сеть с напряжением 50 в через
вольтметр будет протекать ток

Для измерения напряжений до 200 в надо включить
последовательно с вольтметром такое
добавочное сопротивление, в котором будет погашено избыточное напряжение
Отсюда добавочное сопротивление:

<< Предыдущая |
Содержание |
Следующая >>
|