<< Предыдущая |
Содержание |
Следующая >>
Электрическое сопротивление
§ 15. ЭЛЕКТРИЧЕСКОЕ СОПРОТИВЛЕНИЕ
Направленному
движению электрических зарядов в любом проводнике препятствуют его молекулы и
атомы. Поэтому как внешняя цепь, так и сам источник энергии оказывают
препятствие прохождению тока. Величина, характеризующая противодействие
электрической цепи прохождению электрического тока, называется электрическим сопротивлением (или,
короче, сопротивлением).
Источник электрической энергии, включенный в замкнутую
электрическую цепь, расходует энергию на преодоление сопротивления внешней и
внутренней цепей.
Электрическое сопротивление обозначается буквой
r и на схемах
изображается так. как показано на рис. 14, а
Единицей измерения сопротивления является ом.
Омом
называется электрическое сопротивление такого линейного проводника, в котором
при неизменяющейся разности потенциалов в 1 в
протекает ток силой в 1 а, т. е.
1 ом =
При измерении больших сопротивлений используют
единицы в тысячу и в миллион раз больше ома. Они называются килоомом (ком) и
мегоомом (Мом); 1 ком
=1000 ом; 1 Мом = 1 000 000 ом.
В различных
веществах содержится различное количество
электронов, а атомы, между которыми эти электроны движутся, имеют различное
расположение. Поэтому сопротивление проводников электрическому току зависит от
материала, из которого они изготовлены, от длины и площади поперечного сечения
проводника. Если сравнить два проводника, изготовленных из одного и того же
материала, то более длинный проводник имеет большее сопротивление при равных
площадях поперечных сечений, а проводник с большим поперечным сечением имеет
меньшее сопротивление при равных длинах.
Для оценки электрических свойств материала проводника
служит удельное сопротивление — это
сопротивление проводника длиной в 1
м и площадью
поперечного сечения в 1 мм2.
Удельное сопротивление обозначается буквой
r.
Если проводник, изготовленный из материала с удельным
сопротивлением r, имеет длину l метров и площадь поперечного сечения
q
квадратных миллиметров, то
сопротивление всего проводника

Эта формула указывает на то, что сопротивление
проводника прямо пропорционально удельному сопротивлению материала, из которого
он изготовлен, а также его длине и обратно пропорционально площади поперечного
сечения.
Сопротивление проводников зависит от температуры,
причем сопротивление металлических проводников с повышением температуры
увеличивается. Для каждого металла существует определенный, так называемый
температурный, коэффициент сопротивления, который выражает прирост
сопротивления проводника при измнении температуры на 10 С отнесенный
к 1 ом начального сопротивления.
Таким образом,
температурный коэффициент сопротивления

где
r1 - сопротивление проводника при температуре
T1,
r2 - сопротивление
того же проводника при температуре
T2,
Поясним выражение для температурного коэффициента
сопротивления на примере. Положим, что медный линейный провод при температуре
T1= 15° С имеет сопротивление
r1 = 75 ом, а при температуре
T2= 75°С r2=93 ом. Следовательно, прирост сопротивления
при изменении температуры на 75—15 = 60° С составляет 93—75 = = 18 ом. Таким
образом, прирост сопротивления, соответствующий изменению температуры на 1°С,
равен =0,3.
Для определения температурного коэффициента
сопротивлений нужно этот прирост сопротивления
отнести к 1 ом начального сопротивления, т. е. разделить на
75:

Соотношение между сопротивлениями
r1 и
r2:

Следует иметь в виду, что это соотношение справедливо
при не очень высоких температурах, а для измерения сопротивлений при
температурах выше 100—150° С оно не может быть использовано.
Регулируемые сопротивления называются реостатами. Реостаты изготовляют из
проволоки с большим удельным сопротивлением, например из нихрома. Сопротивление
реостатов может изменяться равномерно или ступенями. Применяют также жидкостные
реостаты, представляющие собой металлический сосуд, наполненный каким-либо
раствором, проводящим электрический ток, например раствором соды в воде. На схемах
реостаты условно обозначают так, как показано на рис. 14, б.
Способность проводника пропускать электрический ток
характеризуется проводимостью, которая представляет собой величину, обратную
сопротивлению, и обозначается буквой
g. Единицей измерения проводимости является
(сименс).

Величина
обратная удельному сопротивлению материала проводника, называется удельной проводимостью и обозначается буквой
g.
Таким образом, между удельным сопротивлением и удельной проводимостью
вещества имеют место следующие соотношения:

Пример 1.
Определить длину медной проволоки диаметром
1 мм,
имеющей сопротивление 15 ом, зная, что удельное сопротивление меди 0,0175
.
Решение:
поперечное сечение провода равно:

откуда

Пример 2.
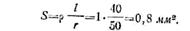
Определить поперечное сечение нихромовой
проволоки r = 1 , имеющей при
длине 40 м сопротивление
50 ом.
Решение:

откуда
Пример 3. Обмотка
трансформатора, изготовленная из медного провода, в нерабочем состоянии при 15°
С имела сопротивление r1=2
ом. При работе сопротивление ее
стало равным r2=2,48
ом. Определить температуру обмотки в
рабочем состоянии, зная, что температурный коэффициент меди 0,004.
Решение.

откуда

<< Предыдущая |
Содержание |
Следующая >>
|