|
назад | оглавление | вперед
2.4.6.3. Регулировочные характеристики
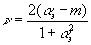
Эти характеристики показывают, как изменяется скорость исполнительного двигателя при изменении коэффициента сигнала, если момент (нагрузка) на валу двигателя остается неизменным. Уравнение регулировочной характеристики (2.74):

На рис.2.27 б показаны зависимости при различных значениях , построенные по этому уравнению. Начальные точки кривых, лежащие на оси абсцисс, характеризуют чувствительность двигателя. Минимальное напряжение, при котором двигатель начинает вращаться, преодолевая заданный тормозной момент, называется напряжением трогания. Даже в идеализированном двигателе регулировочные характеристики являются нелинейными.
назад | оглавление | вперед
|