|
назад | оглавление | вперед
2.4.6.2. Механические характеристики
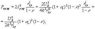
Электромагнитные мощности для полей прямой и обратной последовательностей:
|

|
(2.69) |
|

|
(2.70) |
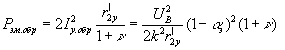
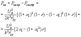
Мощность поля обратной последовательности создает тормозной момент, следовательно, она является отрицательной. Поэтому результирующая мощность двигателя:
|

|
(2.71) |
Вращающий момент двигателя
|

|
(2.72) |
Выразим момент в относительных единицах, приняв за базовую величину значение момента при круговом вращающемся поле и неподвижном роторе . Так как
|
,
|
(2.73) |
то относительный момент
|
,
|
(2.74) |
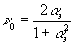
откуда
|
.
|
(2.75) |
По этой формуле строится механическая характеристика исполнительного двигателя в относительных единицах , т.е. общая для всех двигателей (при идеализированных условиях) независимо от их индивидуальных свойств, абсолютного значения момента, скорости вращения и т. д. При неизменном значении коэффициента сигнала зависимость является линейной (рис.2.27а).

Рис.2.27. Механические (а) и регулировочные (б) характеристики идеализированного двигателя с амплитудным управлением
С уменьшением , она становится "мягче". Это является недостатком асинхронного исполнительного двигателя. Относительный момент при трогании численно равен эффективному коэффициенту сигнала . Скорость холостого хода можно получить из условия :
|

|
(2.76) |
Снижение скорости холостого хода при меньших значениях объясняется тормозящим действием обратного поля.
назад | оглавление | вперед
|