|
назад | оглавление | вперед
2.4.6.1. Уравнения токов идеализированного двигателя
Воспользуемся упрощенными схемами замещения ротора, в которых пренебрегается индуктивными сопротивлениями рассеяния ротора (рис. 2.26а, б):

Рис.2.26. Схема замещения идеализированного двигателя для токов прямой (а) и обратной (б) последовательностей
Основанием для идеализации двигателя является выполнение двигателя с повышенным активным сопротивлением ротора.
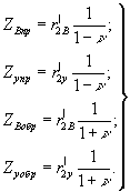
Для идеализированного двигателя:
|

|
(2.66) |
Составляющие тока управления:
|

|
(2.67) |
|

|
(2.68) |
назад | оглавление | вперед
|