|
назад | оглавление | вперед
2.4.6. Исполнительный двигатель с амплитудным управлением
Напряжение управления изменяется только по величине в соответствии с сигналом управления , оставаясь сдвинутым по фазе на по отношению к напряжению возбуждения . Для определения основных свойств двигателя воспользуемся выражениями, полученными при разложении эллиптического поля двухфазной машины на два круговых поля, вращающихся в противоположных направлениях, методом симметричных составляющих. Заменив на , можно записать
|

|
(2.57) |
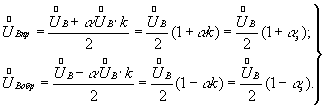
При амплитудном управлении
|
;
|
(2.58) |
|

|
(2.59) |
Величину называют эффективным коэффициентом сигнала.
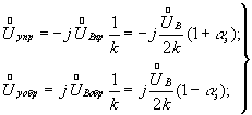
Токи прямой и обратной последовательностей:
|

|
(2.60) |
Аналогично определяются симметричные составляющие тока в фазе управления:
|

|
(2.61) |
|

|
(2.62) |
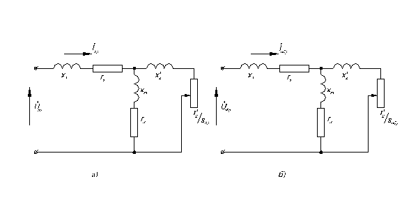
Сопротивления и определяются как полные сопротивления соответствующих схем замещения (рис. 2.25 а - прямой и рис. 2.25 б - обратной):

Рис.2.25. Схема замещения синхронного двигателя для прямой (а) и обратной (б) последовательностей
Они отличаются величиной активного сопротивления ротора. Сопротивление ротора зависит от скольжения относительно прямого и обратного магнитных полей. Сопротивление ротора для токов прямой последовательности:
|

|
(2.63) |
Для токов обратной последовательности:
|
,
|
(2.64) |
где
|
|
(2.65) |
- относительная скорость вращения ротора.
назад | оглавление | вперед
|