|
назад | оглавление | вперед
2.4.6.4. Мощности управления и возбуждения
Ток идеализированного двигателя является чисто активным, поэтому мощности обмоток управления и возбуждения будут определяться следующим образом:
|

|
(2.77) |
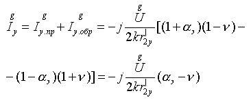
Ток управления с учетом выражений для и (2.67 и 2.68):
|

|
(2.78) |
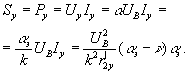
Мощность управления:
|

|
(2.79) |
Аналогично, ток возбуждения:

(т. к. )
|

|
(2.80) |
и мощность в обмотке возбуждения:
|
.
|
(2.81) |
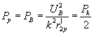
При круговом вращающемся поле и неподвижном роторе:
|
,
|
(2.82) |
т. е. вся мощность , потребляемая двигателем при круговом поле поровну подводится из обеих обмоток, так как питание является симметричным. Относительные мощности и (по отношению к мощности ) можно определить по формулам:
|
;
|
(2.83) |

Рис.2.28. Зависимости мощностей управления и возбуждения (а) и механической
мощности (б) идеализированного двигателя с амплитудным управлением от относительной частоты вращения
|

|
(2.84) |
Графики зависимости относительных мощностей и возбуждения (рис. 2.28) наглядно показывают следующие характерные особенности исполнительных двигателей:
а) мощность обмотки управления резко падает с уменьшением коэффициента сигнала так, что с точки зрения уменьшения мощности управления выгодно работать при малых коэффициентах сигнала;
б) при пуске мощность обмотки возбуждения не зависит от коэффициента сигнала. Объясняется это тем, что при неподвижном роторе обмотки управления и возбуждения электромагнитно не связаны между собой и не могут влиять друг на друга.
назад | оглавление | вперед
|