Разработка и производство сервоприводов,
бесколлекторных и вентильных двигателей, движитель (трастер) для телеуправляемого необитаемого подводного аппарата (ТНПА, ROV)

Адрес: Москва, ул.Большая Переяславская, д.9+7(985)928-61-99
Литье пластика на заказ
ДОКУМЕНТАЦИЯ

ГЛАВА 2. ИСПОЛНИТЕЛЬНЫЕ МЕХАНИЗМЫ НА БАЗЕ ЭЛЕКТРОПРИВОДА ПОСТОЯННОГО ТОКА

§2.1.Конструкция, принцип работы и характеристики исполнительных двигателей постоянного тока

На рис.2.1 приведены основные типы двигателей постоянного тока. Наибольшее распространение имеют коллекторные двигатели постоянного тока.


Рис.2.1

Конструкция коллекторных машин. Коллекторная машина постоянного тока характеризуется тем, что в обмотке якоря наводится переменная ЭДС, частота которой пропорциональна угловой скорости ротора, а между обмоткой якоря и внешней цепью постоянного тока включается механический преобразователь частоты - коллектор со щетками. В результате во внешней цепи машины ток ротекает постоянный, а по каждому проводнику обмотки якоря - переменный, частота изменения которого определяется угловой скоростью ротора.

Коллекторные машины постоянного тока выпускаются в основном с барабанным (массивным) ротором, отдельные серии машин микро и малой мощности выпускаются с полым немагнитным (серия ДПР) и дисковым (серия ПЯ) роторами. Коллекторные машины могут быть с электромагнитным возбуждением и с возбуждением от постоянных магнитов.

Под способом возбуждения машины понимается схема соединения обмоток возбуждения главных полюсов статора и якоря. Соответственно различают машины независимого, параллельного, последовательного и смешанного (при наличии на полюсах нескольких обмоток) возбуждения. Конструктивно эти машины отличаются только параметрами обмоток главных полюсов: обмотки независимого и параллельного возбуждения выполняют с большим числом витков из провода малого сечения и относительно большим сопротивлением; обмотки последовательного возбуждения - с малым числом витков из провода большого сечения и относительно малым сопротивлением. Способ возбуждения весьма сильно влияет на основные характеристики машины.

Принцип работы. В качестве исполнительных двигателей систем автоматического управления наиболее часто используются двигатели независимого возбуждения. Схема включения такого двигателя показана на рис.2.2.


Рис.2.2

В цепь якоря может быть включено добавочное сопротивление Rд, например пусковой реостат. Для регулирования тока возбуждения в цепь обмотки возбуждения может быть включен регулировочный реостат Rр.

Принцип работы двигателя постоянного тока основан на электромагнитном взаимодействии неподвижного магнитного потока возбуждения Ф с током Iя ,протекающим по обмотке якоря. На каждый из проводников с током действует электромагнитная сила и создается результирующий электромагнитный момент

Mэм=kФIя , (2.1)

где k - конструктивный коэффициент, зависящий от конструктивных параметров машины. Этот момент заставляет ротор вращаться, направление момента и скорости совпадают.

При вращении проводников якоря в поле возбуждения в каждом из них наводится ЭДС вращения и с щеток снимается результирующая ЭДС обмотки якоря

Ея=kωФ , (2.2)

где ω - угловая скорость якоря. В режиме двигателя эта ЭДС направлена навстречу к току якоря.

Механические характеристики. Механическая характеристика двигателя это зависимость электромагнитного момента, развиваемого двигателем, от угловой скорости ротора. Механические характеристики двигателей принято подразделять на естественные и искусственные. Естественная характеристика соответствует номинальному напряжению питания и отсутствию добавочных сопротивлений в цепях обмоток двигателя. Если хотя бы одно из перечисленных условий не выполняется, характеристика называется искусственной.

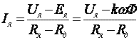
Уравнение механической характеристики ω=f(Mэм) может быть найдено из уравнения равновесия ЭДС и напряжений для якорной цепи двигателя (рис.2.2), записанного на основании второго закона Кирхгофа:

Uя=Eя+Iя(Rя+Rд) , (2.3)

где Rя - активное сопротивление якоря.

Преобразуя (2.3) с учетом (2.1) и (2.2), получим уравнение механической характеристики

, (2.4)

Это уравнение можно представить в виде ω=ωо.ид-Δω, где

ωо.ид=Uя/kФ , (2.5)

- угловая скорость идеального холостого хода (при Mэм=0); Δω=Mэм[(Rя+Rд)/(kФ)2] - уменьшение угловой скорости, обусловленное нагрузкой на валу двигателя и пропорциональное сопротивлению якорной цепи.

Семейство механических характеристик при номинальном напряжении на якоре и потоке возбуждения и различных добавочных сопротивлениях в цепи якоря изображено на рис.2.3.


Рис.2.3

Механические характеристики двигателей принято оценивать по трем показателям: устойчивости, жесткости и линейности.

Естественная механическая характеристика, соответствующая (2.4) при Rд=0, изображена прямой линией 1. Механическая характеристика линейная; небольшое отклонение от линейного закона может быть вызвано потоком якоря, создаваемым током якоря и приводящим к изменению результирующего потока Ф. Эта характеристика жесткая, так как при изменении момента нагрузки и соответственно скорости поток возбуждения не изменяется. Жесткость характеристики уменьшается при введении добавочного сопротивления в цепь якоря (прямые линии 2 и 3 - искусственные реостатные характеристики). Характеристики устойчивые, т.е. двигатель автоматически возвращается в исходную точку характеристики после снятия возмущения. Формальным признаком устойчивости является знак производной dω/dMэм, на устойчивом участке характеристики производная должна быть отрицательной.

Увеличение статического момента сопротивления на валу двигателя приводит к уменьшению угловой скорости и ЭДС якоря. Ток якоря, выражение для которого можно записать на основании (2.3),

, (2.6)

возрастает. Соответственно растет электромагнитный момент.

Регулирование скорости. Угловую скорость двигателя при неизменном моменте сопротивления можно регулировать (см. (2.4)) тремя способами:

  1. якорным - изменением напряжения на обмотке якоря Uя;
  2. полюсным - изменением магнитного потока возбуждения Ф;
  3. реостатным - изменением добавочного сопротивления Rд в цепи якоря.

Регулировочные характеристики двигателей независимого возбуждения при якорном управлении будут рассмотрены в следующих разделах. При этом возможны два основных вида управления:

  1. непрерывное - изменением во времени амплитуды напряжения;
  2. импульсное - изменением времени, в течение которого к двигателю подводится номинальное напряжение.

Полюсное управление применяется гораздо реже якорного, т.к. регулировочные характеристики получаются нелинейными и цепь управления обладает значительной индуктивностью, что может отрицательно сказаться на быстродействии. Преимуществом полюсного управления является значительно меньший ток возбуждения по сравнению с током якоря, и соответственно меньшая мощность управления.

При реостатном способе через реостаты Rд (см. рис.2.2) должен длительно пропускаться значительный ток, что вызывает большие потери мощности. Способ не обеспечивает широкого диапазона регулирования скорости, он неэкономичен и в системах автоматического управления применяется крайне редко.

Пуск. Пуск двигателя постоянного тока осложняется тем, что при ω=0 ЭДС Ея=0 и пусковой ток якоря Iяп=Uя/Rя может в 10 - 20 раз превышать номинальный ток, что опасно как для двигателя (усиление искрения, динамические перегрузки), так и для источника питания. Поэтому важнейшими показателями пускового режима являются кратность пускового тока Kiп=Iп/Iном и кратность пускового момента Kмппном. При пуске необходимо обеспечить требуемую кратность пускового момента при возможно меньшей кратности пускового тока.

Прямой пуск применяют обычно при кратности пускового тока Kiп<6. При большем значении Kiп применяют способы пуска, обеспечивающие снижение тока Iяп либо за счет подачи пониженного напряжения на обмотку якоря, либо за счет введения добавочного сопротивления в цепь якоря.

Реверсирование. Реверсирование двигателя осуществляется либо изменением полярности напряжения на обмотке якоря, либо на обмотке возбуждения. В обоих случаях изменяется знак момента двигателя Мэм и соответственно направление вращения ротора.

Торможение. У двигателей независимого возбуждения возможны три тормозных режима:

  • рекуперативное торможение - перевод двигателя в режим генератора, работающего параллельно с сетью,
  • торможение противовключением - за счет изменения направления тока якоря или потока возбуждения,
  • динамическое - перевод двигателя в режим автономного генератора.

У двигателей исполнительных устройств применяется в основном торможение противовключением или динамическое.

Бесконтактные двигатели постоянного тока. Коллекторные двигатели постоянного тока обладают хорошими регулировочными свойствами и экономичны, но наличие скользящего контакта коллектор - щетки ограничивает область их применения.

В настоящее время в связи с развитием силовой полупроводниковой электроники появились и начали получать все более широкое распространение бесконтактные двигатели постоянного тока. При замене механического коммутатора - коллектора с щетками полупроводниковым коммутатором двигатель постоянного тока становится более надежным и долговечным, создает меньше радиопомех, особенно при высоких частотах вращения, когда очень быстро изнашиваются щетки и значительно увеличиваются искрение и радиопомехи.

Конструкция. В отличие от обычного коллекторного двигателя бесконтактный дви¬гатель постоянного тока обладает рядом характерных особенностей.

  1. Силовая обмотка якоря расположена на статоре и состоит из нескольких катушек, сдвинутых относительно друг друга в пространстве. Ротор выполняют в виде постоянного магнита.
  2. Положение оси магнитного потока ротора по отношению к осям катушек силовой обмотки статора определяется бесконтактными датчиками (трансформаторными, индукционными, магнитоэлектрическими, фотоэлектрическими).
  3. Бесконтактный полупроводниковый коммутатор осуществляет коммутацию катушек силовой обмотки статора по сигналам датчиков положения. При мощности двигателей до 0,5 - 1 кВт в качестве коммутирующих элементов обычно используются транзисторы, при большей мощности - тиристоры.

Эти факторы позволяют при устранении скользящего контакта коллектор-щетки сохранить основную особенность машины постоянного тока, заключающуюся в том, что частота переключения катушек обмотки якоря определяется частотой вращения ротора. Благодаря этому бесконтактный двигатель постоянного тока в основном сохраняет характеристики коллекторного двигателя с независимым возбуждением.

Принцип работы рассмотрим на примере двигателя с двумя катушками якоря, сдвинутыми на 90°. В положении, изображенном на рис.2.4,a, сигнал, управляющий коммутатором К, снимается с датчика Д1, и коммутатор подает на обмотку 1 напряжение указанной на рисунке полярности. Когда сигнал отсутствует, коммутатор подает на обмотку I напряжение противоположной полярности (рис.2.4,б).


Рис.2.4

Аналогично со сдвигом на 90° подключается к коммутатору обмотка 2 по сигналам датчика Д2. При этом изменение коммутатором полярности напряжения на обмотках статора осуществляется в момент перехода оси потока ротора через ось данной обмотки статора. Тем самым обеспечивается изменение направления тока в обмотке статора при подходе оси полюса ротора противоположного знака. Следовательно, сохраняется одно направление вращающего момента Мэм, создаваемого силами Fэм, в пределах полного оборота ротора, т.е. выполняется роль коллектора электрической машины постоянного тока.

Характеристики бесконтактных двигателей тем ближе к характеристикам классического двигателя постоянного тока, чем больше число обмоток на статоре. Однако пропорционально числу обмоток увеличивается необходимое число чувствительных элементов датчиков положения и число транзисторов в коммутаторе. Поэтому практически число обмоток нецелесообразно более трех - четырех.

Первоначально серийно выпускались только бесконтактные микродвигатели. Однако в настоящее время наблюдается тенденция роста выпуска бесконтактных двигателей малой мощности, которые могут составить конкуренцию высокомоментным двигателям, используемым в промышленных роботах, приводах подач обрабатывающих центров и т.д. При работе в подобном оборудовании важнейшими требованиями, предъявляемыми к электроприводам, являются

  • обеспечение точного и устойчивого регулирования скорости и момента без механического передаточного устройства в относительно низком диапазоне частот вращения двигателя - от 0 до 1000 об/мин,
  • обеспечение высокой равномерности вращающего момента и мгновенной скорости в пределах оборота во всем диапазоне скоростей.

Простейший конструктивный вариант двухобмоточного двигателя, рассмотренный выше, при питании каждой обмотки во время такта прямоугольным импульсом напряжения не обеспечивает выполнения второго требования, особенно в зоне малых скоростей, из-за малого числа обмоток и скачкообразного перемещения магнитного потока статора в момент коммутации. Существенное ослабление этого недостатка может быть достигнуто за счет выполнения двигателя трехобмоточным и питания обмоток статора не поочередно, а одновременно напряжениями, модулированными по синусному закону и сдвинутыми по фазе на 120°. При этом обмотки статора будут создавать постоянный магнитный поток, вращающийся с частотой, равной частоте вращения ротора (см. §3.1). Коммутатор в этом случае представляет собой инвертор напряжения, управляемый от датчиков положения ротора. Принцип работы такого инвертора рассмотрен далее в §3.3. Поскольку электромагнитные процессы, происходящие в таких двигателях, близки к процессам в синхронной машине переменного тока, их иногда называют синхронными вентильными двигателями.

В ряде случаев двигатели постоянного тока целесообразно делать линейными.

На рис.2.5,а показана схема электромагнитной системы линейного бесконтактного двигателя. Корпус индуктора 1 выполнен из ферромагнитного материала и служит внешним магнитопроводом. В корпусе расположены постоянные магниты 2, создающие поток озбуждения Фв, индуктор является подвижной частью линейного двигателя. Якорь 3 представляет собой диэлектрическую пластину, на поверхности которой методом фотолитографии выполнена печатная схема проводников 4. Якорь является неподвижной частью двигателя. Длина якоря lя больше длины индуктора lи на длину хода индуктора.


Рис.2.5

Проводники якоря объединены в катушки, оси которых сдвинуты по длине якоря. Выводы катушек подсоединены к олупроводниковому коммутатору. На рис.2.5,б показана схема кинематического звена поступательного перемещения с линейным двигателем. Якорь 3 прикреплен к неподвижной направляющей 5, а индуктор 1 - к подвижной каретке 6. На направляющей по осям катушек якоря расположены сигнальные элементы, вызывающие срабатывание датчиков положения индуктора относительно якоря, расположенных на каретке.

Работа линейного бесконтактного двигателя мало отличается от работы рассмотренного ранее вращающегося бесконтактного двигателя. Различие состоит в том, что силы электромагнитного взаимодействия тока якоря с полем возбуждения индуктора создают тяговое электромагнитное усилие Fтяг в плоскости якоря, которое приводит к поступательному перемещению индуктора.

Назад | Оглавление | Вперед
+7(985)928-61-99 Москва, ул.Большая Переяславская, д.9