|
Содержание Предыдущий § Следующий
3.6. Компенсационная обмотка
Наименьшее искажение магнитного поля под полюсами можно получить, применив компенсационную обмотку, которая укладывается в пазах наконечника главного полюса (рис. 3.25). Она включается последовательно с обмоткой якоря и рассчитывается так, чтобы линейные нагрузки якоря и компенсационной обмотки были примерно равны
и взаимно компенсировались.
Полная компенсация поля якоря возможна при непрерывном распределении компенсационной обмотки по поверхности главного полюса. Практически обмотка размещается в ограниченном числе пазов —6... 12 на каждый полюс, поэтому и у машин с компенсационной обмоткой наблюдается некоторое искажение магнитного поля.
На рис. 3.25 показано, что после сложения МДС главного полюса, якоря и компенсационной обмотки при соблюдении условия (3.33) получается пилообразная кривая, характеризующая МДС в воздушном зазоре.
Максимальное значение МДС в воздушном зазоре
 Рис. 3.25. Расположение компенсационной обмотки
где ?к.об — шаг пазов компенсационной обмотки.
Учитывая, что Лк.Об = '4 и bJtK.0o = ^K,o6 — число пазов компенсационной обмотки на полюс,
 
Коэффициент искажения поля при А = Ак.оъ и равномерном воздушном зазоре
Простая и наглядная формула (3.36) довольно широко распространена *. Однако при малых значениях k она может давать существенную погрешность, так как не учитывает зубчатое строение якоря и высшие гармонические магнитного поля и ЭДС.
Наличие зубцов якоря приводит к тому, что кривая индукции в воздушном зазоре имеет волнообразный характер и ЭДС, индуцируемая в проводнике, лежащем в пазу якоря, имеет такой же вид (рис. 3.26). Уже при холостом ходе ЭДС проводника отличается от среднего значения.
Можно считать, что при холостом ходе
 где k6 — коэффициент зубчатости; при наличии зубцов на якоре и полюсе он равен произведению коэффициентов, подсчитанных отдельно для якоря и полюса:
Если обмотка якоря строго диаметральная, то ЭДС витка в 2 раза больше ЭДС проводника и
Рис. 3.26. Изменение индукции в зазоре и ЭДС проводника зубчатого якоря
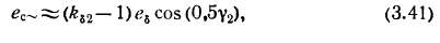
Для уменьшения влияния зубчатости якоря на максимальную ЭДС между пластинами обмотку якоря обычно делают с укорочением шага витка на половину зубцового деления (рис. 3.27). В этом случае, когда в одной стороне витка индукция максимальна, в другой — минимальна, ЭДС витка почти не пульсирует, оставаясь равной среднему значению. Амплитуда пульсации ЭДС из-за наличия зубцов на полюсе
* См.: Теффлингер К. Компенсированные тяговые двигатели постоянного то-Ka//Siemens—Zeitschrift. 1955. Н. 2.
  
где Y2 — угол сдвига фаз ЭДС в сторонах витка, обусловленный укорочением шага обмотки,
Уа=2яв/^>об. (3.42)
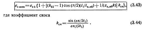
Пульсация ЭДС ес минимальна при укорочении шага e = 0,5/i, если <коб = <1. Однако в этом случае возникают сильные пульсации магнитного потока, что может вызвать шум и другие нежелательные явления. Поэтому стараются не проектировать зубцовые деления якоря и компенсационной обмотки одинаковыми или кратными. Если по каким-либо причинам приходится все же делать *ков = ^, то обязательно нужно выполнять скос пазов на якоре (рис. 3.27), чтобы избежать пульсации магнитного потока.
Скос пазов обычно производится примерно на одно зубцовое деление.
Наличие скоса пазов уменьшает пульсации ЭДС, т. е. улучшает потенциальные условия на коллекторе.
При укорочении шага обмотки якоря на 0,5^ и наличии скоса пазов якоря на расстоянии с, максимальная ЭДС
Рис 3 27. Якорь со скошенными зубцами
На рис. 3.28 представлена экспериментально полученная зависимость kf = f(k) для машины с компенсационной обмоткой мощностью 20 кВт. Кривая / относится к ЭДС проводника, а кривая 2 — к ЭДС секции. Благодаря применению скоса паза и укорочению шага обмотки на половину паза коэффициент искажения для секции существенно меньше, чем для проводника. Формула (3.43) в данном случае дала практически полное совпадение с данными эксперимента.
Штриховая линия 3 на рис. 3.28 построена по формуле (3.36) и дает завышенное значение kf для секции, но заниженное для проводника. Следовательно, формулой (3.36) можно пользоваться только для ориентировочных расчетов, когда еще не известны параметры обмотки якоря.
Надлежащим выбором числа пазов компенсационной обмотки, укорочением шага обмотки якоря и выполнением скоса пазов можно добиться того, что в режиме ослабленного поля коэффициент искажения будет мал и естах~ (1,05... 1,1) есв-

Рис. 3.28. Зависимость коэффициента искажения магнитного поля от коэффициента устойчивости
Таким образом, при наличии компенсационной обмотки максимальное напряжение между смежными пластинами снижается на 20 ...30% и, следовательно, среднее напряжение может быть настолько же повышено. Это приводит к тому, что машины большой и средней мощности с компенсационной обмоткой имеют лучшие массогабаритные показатели, чем машины той же мощности без компенсационной обмотки. Снижается масса не только якоря, но
и статора, несмотря на добавление еще одной обмотки. Это объясняется тем, что при наличии компенсационной обмотки может быть уменьшен воздушный зазор и габариты обмотки возбуждения. Кроме того, уменьшаются и габариты обмотки дополнительных полюсов (см. гл. 4).
Особенно ценно то свойство компенсационной обмотки, что компенсация искажающего действия реакции якоря сохраняется и в переходных режимах, при бросках напряжения и тока. Поэтому компенсационная обмотка дает наибольший выигрыш в машинах, работающих в тяжелых режимах, связанных с частыми бросками тока и напряжения: в двигателях прокатных станов, тяговых двигателях, сварочных генераторах и т. д.
Правда, иногда значение переходных режимов переоценивается. Так, например, на одном из заводов устойчивость двигателей к возникновению кругового огня оценивалась с помощью опыта ударного включения, в котором двигатель, работающий в номинальном режиме, на 1 с отключается от сети, а затем опять включается. При этом возникает кратковременный бросок тока, иногда возникает и круговой огонь. Если круговой огонь не возник, увеличивают подаваемое напряжение и повторяют опыт. Напряжение, при котором регулярно возникает круговой огонь, называется напряжением перекрытия и„ерек; по его относительному значению Unepei(/UH0M судят о стойкости машины к возникновению кругового огня.
В принципе, такой опыт верен, однако он не всегда полностью определяет поведение машины в эксплуатации. Например, по результатам опыта ударного включения (табл. 3.2) лучше других себя показал двигатель ДК-ЮЗ, который не смогли довести до кругового огня, хотя напряжение подняли в 1,67 раза больше номинального.
В эксплуатации же случаи кругового огня у двигателя ДК-ЮЗ встречались гораздо чаще, чем у двигателей ДК-ЗА и ДПЭ-400, имеющих значительно меньшее напряжение перекрытия.
Видимо, опыт ударного включения, при котором кратковременно
Таблица 3.2
|
Тип двигателя
|
Номинальное напряжение, В
|
Напряжение перекрытия, В
|
^перен^ном ое-
|
|
ДК*-103 ДК-ЗА ДПЭ-400
|
1500 1500 1500
|
2500 2300 2100
|
1,67 1,53 1,40
|
* До кругового огня доведен не был.
сильно искажается поле и возникает вспышка под щетками, указывает не только на предрасположенность к круговому огню двигателя, но и на другие его свойства.
Справедливость оценки свойств двигателя по напряжению перекрытия определяется также тем, насколько часты в эксплуатации переходные процессы, связанные с резкими изменениями напряжения питающей сети, и как реагирует система электропривода на эти броски напряжения. Например, для тяговых двигателей тепловозов, где резкие изменения напряжения и броски тока отсутствуют, наиболее достоверны для оценки склонности машины к возникновению кругового огня опыты с искусственной вспышкой на коллекторе (см. § 3.4). Для городского электротранспорта, где часты случаи полного отрыва токоприемника от контактной сети с последующим подключением, не меньшее значение имеет и опыт ударного включения.
Содержание Предыдущий § Следующий
|