|
Содержание Предыдущий § Следующий
3.5. Потенциальные условия на коллекторе
Опасность возникновения кругового огня при заданных толщинах пластины и изоляции определяется, как было показано выше, максимальным напряжением между смежными коллекторными пластинами
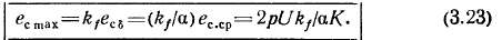
где Ввтах — максимальная индукция в воздушном зазоре; 1а — длина проводника в магнитном поле; va — скорость точки, лежащей на поверхности якоря; wc — число витков в секции; р — число пар полюсов; а — число пар параллельных ветвей обмотки якоря. Среднее напряжение между коллекторными пластинами
где U — напряжение на коллекторе (на щетках противоположной полярности); К—число коллекторных пластин; К' — число пластин между щеткодержателями противоположной полярности.
При холостом ходе /?атах = £бо> и напряжение между смежными пластинами
так как ЭДС индуцируется только в секциях, стороны которых находятся под полюсом.
Напряжение при холостом ходе в другой форме
Разделив (3.18) на (3.21), получим
где kf — коэффициент искажения поля. Из (3.19), (3.22) следует, что
Так как коэффициент полюсного перекрытия а = 0,6...0,7 не может меняться в широких пределах, для снижения максимального напряжения между пластинами имеется два пути:
1) снижение среднего напряжения между коллекторными пластинами;
2) уменьшение kf, т. е. уменьшение искажающего действия реакции якоря.
Снижение среднего напряжения ес.Ср путем увеличения числа коллекторных пластин в машинах средней и большой мощности ведет, как правило, к увеличению габаритов и массы.
 
Коллекторное деление (толщина пластины и изоляции) по технологическим соображениям не должно быть менее 4,0 ...5 мм. В высоковольтных машинах из-за этого часто приходится увеличивать диаметр коллектора и якоря, что неблагоприятно отражается на массе и стоимости машины.
Обычно при проектировании принимают ес.Ср= 14... 18 В, если нет оснований для более точного выбора.
Искажающее действие реакции максимально при малом токе возбуждения, когда нет насыщения стальных участков магнитопро-вода и индукция пропорциональна МДС.
Для машины с равномерным воздушным зазором под полюсом
где Fr.n — МДС главного полюса; Ь — полюсная дуга; А — линейная нагрузка.
Введем коэффициент устойчивости магнитного поля
подставим (3.25) в (3.24), получим
Следовательно, для уменьшения искажающего действия реакции якоря нужно увеличить коэффициент устойчивости машины, для чего следует одновременно увеличить МДС главных полюсов и воздушный зазор. Поэтому машины постоянного тока делаются с относительно большим воздушным зазором.
На рис. 3.23, кривая а, показана зависимость коэффициента искажения поля от коэффициента устойчивости, построенная по (3.26). При /г<1 искажение поля очень велико. Поэтому обычно не делают машин с коэффициентом устойчивости меньше единицы.
Увеличение МДС главных полюсов ведет к росту размеров обмотки возбуждения, а следовательно, и к увеличению габаритов машины. Для уменьшения искажающего действия поперечной реакции якоря более выгодно делать зазор не равномерным, а увеличивающимся от середины полюса к краю.
Минимально искажение магнитного поля в том случае, если максимальная индукция под полюсом равна индукции под его серединой: при любом другом распределении индукции максимум кривой можно уменьшить (рис. 3.24).
Для ненасыщенной магнитной системы
  
 т. е. чем меньше коэффициент устойчивости, тем сильнее нужно увеличивать воздушный зазор к краю полюса.
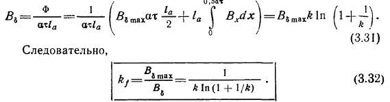
Если воздушный зазор выполнен равномерно возрастающим для какого-то значения k, то коэффициент искажения поля можно найти, взяв отношение максимальной индукции Втах к средней под полюсом Be-
Средняя индукция в воздушном зазоре под полюсом
 На рис. 3.23, кривая б, приведена зависимость kf — f(k) при оптимальном зазоре, построенная по (3.32).
Из сравнения кривых а и б видно, что при одном и том же коэффициенте устойчивости искажение магнитного поля в машине с равномерно расходящимся зазором значительно меньше (на 25... 40%), чем в машине с равномерным зазором.
На практике приходится несколько отступать от рассмотренного «оптимального» зазора: у края полюса зазор увеличивают быстрее, чем это требует формула (3.28) для уменьшения шума в машинах; по технологическим соображениям зазор делают эксцентрическим, т. е. описанным радиусом, большим, чем радиус якоря, и т. п. Формула (3.32) указывает на предел возможного улучшения потенциальных условий, к которому и стремятся при проектировании машины.
Содержание Предыдущий § Следующий
|