Содержание
< назад вперед >
§ 80. МОЩНОСТЬ ТРЕХФАЗНОГО ТОКА
Известно,
что активная мощность однофазного переменного тока подсчитывается по формуле

где Iф и Uф — фазные значения тока и
напряжения; j — угол
сдвига фаз между ними.
При симметричной
нагрузке трехфазной системы
мощность, потребляемая
каждой фазой, одинакова и поэтому мощность всех трех фаз

Возьмем соединение звездой.
Для него выше было найдено, что

Подставляя в формулу мощности
трех фаз линейные значения тока и напряжения, получим

Тогда формула активной
мощности трехфазного тока при соединении звездой примет вид

Полная мощность

Для соединения треугольником
известно, что

Подставляя
в формулу мощности трех фаз линейные значения тока и напряжения, получим

и формула активной мощности
трехфазного тока при соединении треугольником примет вид

Полная мощность

Как видим,
формулы мощности получились одинаковыми как для
соединения звездой, так и для
соединения треугольником.
Таким
образом, активную и полную мощности трехфазной системы можно рассчитать по
формулам

где I и U — линейные значения тока и
напряжения.
Не нужно забывать, что эти
формулы пригодны только для симметричной нагрузки.
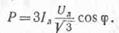
Пример 1.
Трехфазный потребитель с симметричной нагрузкой имеет активное сопротивление r= 6 ом и индуктивное сопротивление хL= 8 ом в каждой фазе. Линейное
напряжение U = 220 в.
Определить
мощность потребителя, если он соединен звездой.

Мощность всех трех фаз

или

При несимметричной
нагрузке приходится сначала подсчитать мощность, потребляемую каждой фазой, а уже потом можно
суммировать мощности всех трех фаз.
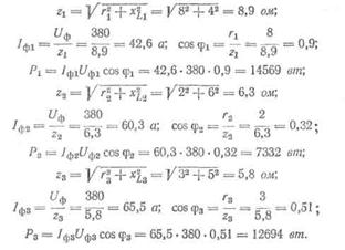
Пример 2. Потребитель трехфазного
тока с несимметричной нагрузкой включен по схеме треугольник в сеть с линейным
напряжением U = 380 в.
В каждой фазе потребителя
включены последовательно активное и индуктивное
сопротивления, величины которых равны:

Определить
активную мощность потребителя.
Решение.

Мощность
трех фаз

|