Содержание
< назад вперед >
§ 79.
СОЕДИНЕНИЕ ТРЕУГОЛЬНИКОМ
Кроме
соединения звездой, генераторы, трансформаторы, двигатели и
другие потребители трехфазного тока могут включаться треугольником.
На рис.
179 представлена несвязанная
трехфазная система. Объединяя
попарно провода несвязанной шестипроводной системы и соединяя фазы так, как
указано на чертеже, переходим к трехфазной
трехпроводной системе, соединенной треугольником.
Как видно из рис. 180,
соединение треугольником выполняется таким
образом, чтобы конец фазы А был
соединен с началом фазы В, конец фазы В соединен с
началом фазы С и конец
фазы С соединен с началом
фазы А. К местам
соединения фаз присоединяют линейные провода.
Если
обмотки генератора соединены треугольником, то, как видно на
рис. 180, линейное напряжение создает каждая фазная обмотка. У потребителя, соединенного треугольником, линейное
напряжение подключается к
зажимам фазного сопротивления. Следовательно, при соединении треугольником
фазное напряжение равно линейному:

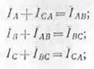
Определим зависимость между
фазными и линейными токами при соединении треугольником, если нагрузка фаз
будет одинакова по величине и характеру.

Составляем уравнения токов по
первому закону Кирхгофа для трех узловых точек А1,
В1 и С1
потребителя:

откуда


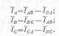
Отсюда видно, что линейные
токи равны геометрической разности фазных токов. При
симметричной нагрузке фазные токи одинаковы по величине и сдвинуты один относительно
другого на 120°. Производя вычитание векторов фазных токов согласно полученным
уравнениям, получаем линейные токи (рис. 181). Зависимость между фазными и
линейными токами при соединении в треугольник показана на рис. 182:

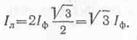
Так как

то


Следовательно, при симметричной
нагрузке, соединенной треугольником, линейный ток в аз больше фазного тока.
На рис. 183
дана векторная диаграмма токов и напряжений при равномерной активно-индуктивной нагрузке,
соединенной треугольником. Построение диаграммы производится следующим
образом. В выбранном масштабе строим равносторонний треугольник линейных напряжений сети Uав, Ubc и Uас, которые
равны фазным напряжениям
потребителя. В сторону отставания под углами jAB, jBC, jCA к линейным напряжениям UAB, Uвс и Uса строим в масштабе векторы
фазных токов IAB, IBC и ICA.Затем, как было указано
раньше, определяем линейные токи IA, IB и IC.
У
двигателей и у других потребителей трехфазного тока в большинстве случаев
наружу выводят все шесть концов трех обмоток, которые по
желанию можно соединять либо звездой, либо треугольником. Обычно к трехфазной
машине крепится доска из изоляционного материала (клеммная доска), на которую
и выводят все шесть концов.
На рис. 184 показана схема
присоединения концов обмоток трехфазной машины к зажимам клеммной доски. Медные
перемычки позволяют легко менять схему включения обмоток.
Если у нас
есть двигатель, на паспорте которого написано 127/220 в, значит этот
двигатель можно использовать на два напряжения: 127
и 220 в.
Если
линейное напряжение сети равно 127 в, то обмотки
двигателя необходимо включить
треугольником (рис. 184, б). Тогда на обмотку каждой фазы двигателя
будет подано напряжение 127 в. При напряжении 220 в обмотки двигателя нужно
включить звездой (рис. 184, а), тогда
обмотка каждой фазы также будет под напряжением 127 в.
|