Содержание
< назад вперед >
§ 70.
РЕЗОНАНС НАПРЯЖЕНИЙ
Если в последовательной
цепи, содержащей индуктивность и емкость, ХL =Xс, то

т. е. цепь будет вести себя
так, как будто она содержит только одно активное сопротивление. При этом ток и напряжение
сети

совпадают по фазе. Этот
случай называется резонансом напряжений. График и
векторная диаграмма для резонанса напряжений показаны на рис.
158. Условием резонанса напряжений является
равенство

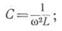
Поэтому
резонанс напряжений в цепа с последовательным соединением r, L и С может наступить:
1) если
при постоянной индуктивности емкость
меняется и становится
равной

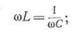
2) если
при постоянной емкости
меняется индуктивность и становится равной

3) если изменение
обеих величин L и С
приводит к равенству

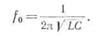
4) если,
наконец, угловая частота сети, изменяясь, становится равной

учитывая, что w= 2πf, получаем следующее
выражение для частоты f0:

Эту частоту принято называть резонансной.
Пример 10. Имеется
цепь, состоящая из последовательно соединенных активного
сопротивления, индуктивности и емкости, причем r=6 ом, XL= 10 ом, Хс = 2 ом. Напряжение на
зажимах цепи 120 в. Определить
ток цепи при заданных сопротивлениях, а также ток при резонансе напряжений,
если XL = Xс = 10 ом.
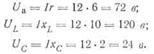
Ток в цепи

Напряжения на отдельных
участках цепи:

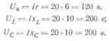
Ток при резонансе
напряжений

Напряжения на отдельных
участках цепи:

Как видно из примера, ток при
резонансе напряжений увеличился, напряжения на отдельных участках цепи
увеличились. При известных условиях это может представить
опасность для некоторых установок
переменного тока, так как чрезмерное увеличение напряжения на участках цепи может
привести к пробою изоляции катушек,
аппаратов, приборов, пробою диэлектрика конденсатора и т. д. Явление резонанса напряжений
используется в радиотехнических схемах и других устройствах.
|