Содержание
< назад вперед >
§ 69. ПОСЛЕДОВАТЕЛЬНОЕ СОЕДИНЕНИЕ
АКТИВНОГО СОПРОТИВЛЕНИЯ, ИНДУКТИВНОСТИ И ЕМКОСТИ (r, L, С).
На рис. 156 даны схема и
векторная диаграмма для цепи с последовательным соединением активного
сопротивления, индуктивности и емкости.
Напряжение на зажимах цепи
равно геометрической сумме падений напряжения на отдельных участках цепи:
активного падения напряжения и падений напряжений на индуктивном и емкостном
сопротивлениях.
Напряжения UL. и Uс сдвинуты между собой по фазе на полпериода
(180°). Поэтому при геометрическом сложении векторов они взаимно вычитаются.
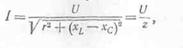
Из векторной диаграммы находим

Закон Ома для данной цепи
будет


где полное сопротивление цепи
Расчетная величина х = хL — хC называется реактивным сопротивлением цепи.
Для рассматриваемой цепи

Если хL больше хC, то цепь в
целом носит индуктивный
характер, т. е. вектор тока I отстает по фазе от вектора
напряжения цепи U.
Если же хCбольше xL то цепь в
целом носит емкостный характер, т. е. вектор тока I опережает
по фазе вектор общего напряжения U.
Пример 9. В
электрическую цепь напряжения V = 220 в
последовательно
включены: реостат
сопротивлением r1 = 5 ом, катушка с активным
сопротивлением r2 = 3 ом и
индуктивным сопротивлением x2 = 4 ом, конденсатор
с емкостным сопротивлением х3= 10 ом.


Определить
ток в цепи и напряжения на отдельных элементах цепи. Решить пример, дать схему
и векторную диаграмму:

Схема и
векторная диаграмма даны на рис. 157.
|