|
Содержание
< назад вперед >
§ 18. МЕТОД КОНТУРНЫХ ТОКОВ
Метод контурных токов можно применить для расчета сложных
электрических цепей, имеющих больше двух узловых точек. На рис. 41, а
изображена такая электрическая цепь. В ней три контура, причем средний контур
имеет участки, входящие в состав двух соседних контуров, а также участки,
которые входят в состав только одного контура.
Сущность метода контурных токов заключается в предположении,
что в каждом контуре проходит свой ток (контурный ток). Тогда на общих
участках, расположенных на границе двух соседних контуров, будет протекать ток,
равный алгебраической сумме токов этих контуров.
Выберем положительные направления трех контурных токов II, III, и IIII так, как
указано на чертеже стрелками. Затем составим уравнения по второму закону
Кирхгофа, обходя все три контура в одном направлении, например в направлении
движения часовой стрелки.
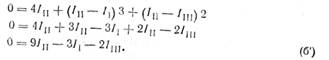
Для контура I:

для контура II:

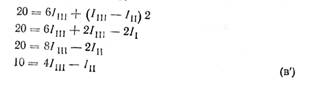
для контура III:

Как мы видим, число уравнений равно числу контуров, т.е.
число уравнений меньше чем при решении задачи по 1-му и 2-му законам Кирхгофа.
Решая систему уравнений, находим контурные токи, по которым определяются токи в ветвях: I1,
I2, I3, I4.

Примет 34. Определить, как распределяются токи в цепи, представленной на рис. 41. а, если Е1=14
В, E2=20 В, r1=3 Ом, r3=4 Ом, r4=2 Ом, r5=6 Ом.
Решение.
Уравнение для контура I по формуле (а):

Уравнение для контура II по формуле (б):

Уравнение для контура III по формуле (в):
I

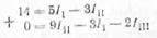
Складывая выражения (а') и (б'), получим:

Или

Складывая формулы (в') и (г'), получим:

или

Подставляя значение тока IIIв уравнение (в'), получим:

Откуда

Подставляя значение тока III,в уравнение (а'), получим:

откуда

Таким образом, все контурные токи найдены.
Определяем токи на отдельных участках цепи алгебраически,
складываял протекающие по ним контурные токи. Токораспределение на отдельных
участках цепи показано на рис. 41.
Задачи для самостоятельного решения
1. Определить сопротивление 100 м железной
проволоки диаметром 1 мм.
2. Каково сопротивление
алюминиевого провода сечением 2,6 мм2 и длиной 300
М?
3. Необходимо изготовить реостат на 20 Ом из
никелиновой проволоку. Определить сечение проволоки, если длина ее равна 5 м.
4. Сопротивление спирали
электрической плитки равно 24 Ом. Какова должна быть длина нихромовой
проволоки для этой спирали, если сечение проволоки 0,5 мм2?
5. 200 м проволоки сечением 4 мм- имеют сопротивление 6,5 ом. Определить
материал проводника.
6. Длина проводника 25 см. Материал
проводника — вольфрам. Определить сечение проводника, если сопротивление проводника 0,05 Ом.
7.Вычислить сопротивление телеграфной проволоки диаметром 4 мм,
длипой 150 км, если материалом проволоки является железо.
8. Проводимость нихромовой проволоки длиной 80 м равна
0,025 (1/Ом). Определить сечение проволоки.
9. Определить температуру обмотки электрической машины, выполненной
из медной проволоки, если до включения машины ее сопротивление при 15° было
70 Ом и во время работы увеличилось до 85,05 Ом.
10. По нихромовой спирали
электрической плитки проходит ток в 5 а. Сечение проволоки 0,6 мм2. Определить
длину проволоки, если плитка включена в сеть напряжением 120 В.
11. Имеется катушка медной проволоки
сечением 0,5 мм2. Длина проволоки 200 м. Какое
напряжение должно быть приложено к катушке, чтобы в ней протекал ток в 4 А?

12. Для устойчивого горения дугового
фонаря необходимо иметь 60 В и 10 А. Для питания фонаря установлен генератор с напряжением
120 В. Определить величину добавочного сопротивления к дуговому фонарю, если сопротивление соединительных
проводов 0,2 Ом.
13. Вольтметр рассчитан на напряжение
20 в и ток 0,05 а. Чтобы вольтметр включить в сеть 100 В, необходимо
включить добавочное сопротивление. Определить его величину.
14. При напряжении 60 в в цепи
проходит ток 2,5 а. Какое дополнительное сопротивление необходимо включить, чтобы в цепи проходил ток в 2 а?
15. К цепи, изображенной на рис. 42,
подведено напряжение V = 50 в. Сопротивления
отдельных участков указаны непосредственно на схеме. Определить напряжения между точками А и Б, В и Г,
Д и Е, т. е. UАБ; UВГ и U'ДЕ.
16. Электрическая цепь состоит из
проводов сопротивлением 0,4 Ом, электрической лампы сопротивлением 150 Ом
и реостата на 120 Ом. Каково сопротивление всей цепи, если провода, лампа и реостат включены
последовательно?
17. Четыре проводника с сопротивлением 3, 4, 6 и 2 Ом включены
между собой параллельно. Определить общее сопротивление этих проводников.
18. Определить сопротивление медного провода длиной 800 м, состоящего
из семи проволочек диаметром по 1,7 мм.
19. Железная проволока длиной 20 м, сечением
1,5 мм2, алюминиевая проволока длиной 50 м,
сечением 2 мм2, нихромовая проволока длиной 10 м, сечением 0,5 мм2 включены
последовательно в сеть. Определить общее сопротивление всех проволок.
20. Первая ветвь параллельного соединения состоит из
сопротивления 18 Ом. Вторая ветвь состоит из трех последовательно
включенных сопротивлений по 12 Ом. Определить общее сопротивление разветвления.
21. Восемь проводников
сопротивлением по 10 Ом каждый соединены в четыре одинаковые параллельные группы. Определить общее
сопротивление цепи.
22. Проводник сопротивлением 7 Ом включен
последовательно с разветвлением, состоящим из четырех проводников в 2, 4, 6 и 8 Ом. Определить
общее сопротивление цепи.
23. Разветвление из трех параллельно включенных
сопротивлений в 3, 8 и 6 Ом включено последовательно с другим разветвлением, состоящим из четырех сопротивлений
в 2, 7, 6 и 3 Ом. Определить общее сопротивление цепи.
24. Три проводника соединены между
собой параллельно. Сопротивление первого проводника 3 Ом, второго 4 Ом, третьего
6 Ом. Ток, протекающий по первому проводнику, равен 2 А. Определить общий ток.
25. Напряжение сети 12 в. Общий
ток, потребляемый четырьмя параллельно включенными
одинаковыми лампами, равен 8 а. Определить сопротивление каждой лампы.
26. Группа из трех параллельно
соединенных проводников в 2,9 и 6 ом соединена последовательно с другой
группой из четырех параллельно соединенных проводников
в 2, 4, 6 и 3 Ом. Напряжение сети равно 30 В. Определить ток в каждом
проводнике.
27. Напряжение генератора НО е. В сеть включены
параллельно сорок ламп по 200 Ом каждая. Определить э. д. с. генератора,
если его внутреннее сопротивление 0,2 Ом.
28. Имеется разветвление, состоящее
из четырех параллельно включенных сопротивлений в 6, 4, 3 и 8 Ом. Ток, притекающий
к точке разветвления, 20 А. Определить
ток, протекающий по каждой ветви.
29. Электродвигатель па 120 В, потребляющий
ток в 25 а, установлен на расстоянии 200 м от источника электрической энергии.
Определить сечение медных проводов, идущих к двигателю, если напряжение источника энергии 125 В.
30. Длина линии электропередачи 300 м. Линия
выполнена медным проводом сечением 150 мм2. Нагрузка потребляет ток 200 А. Какое
напряжение на зажимах нагрузки, если напряжение на зажимах источника питания 240 В?
31. Сколько электрической энергии расходует электрическая
печь в течение 30 мин, если она потребляет ток 10 А при напряжении 120 В?
32. На цоколе лампы накаливания написано: 200 Вт, 220 В. Определить сопротивление нити накаливания.
33. Мощность электрического двигателя 3 кВт. Чему
равен ток в обмотке этого двигателя, если напряжение сети равно 120 В?
34. Электродвигатель, подключенный к сети 220 В,
потребляет ток в 8 А. Какова мощность двигателя, какое количество энергии он потребляет за 2 ч
30 мин?
35. В квартире имеется шесть ламп. Две из них мощностью по
40 Вт горят в сутки по 5 ч, две
мощностью по 60 Вт горят по 6 ч и две по 15 Вт горят по 4 ч.
Сколько нужно заплатить за горение всех ламп в течение месяца (30
дней) при тарифе 4 коп. за 1 кВт×ч?
36. Электрический двигатель
мощностью 5 кет, напряжением ПО в установлен на пилораме. Энергию двигателю дает генератор,
расположенный на расстоянии 150 м от двигателя. Напряжение генератора
поддерживается равным 120 В.
Определить:
а) сечение медных проводов, идущих от генератора к двигателю,, б) мощность генератора, в) потерю мощности в проводах.
37. На электростанции установлен генератор
напряжением 240 в. Энергия подается потребителю па расстояние 200 м.
Потребитель забирает из сети ток 60 А. Потеря мощности в проводах равна 10% от мощности,
отдаваемой генератором.
Определить сечение медных проводов линии.
38. К генератору, дающему для
гальваностегии ток 900 А напряжением 6 В, установлен бензиновый двигатель.
Определить мощность этого двигателя в лошадиных силах, если к. п. д. передачи 95%.
39. Генератор дает мощность 10 кет
при напряжении равном 115 В. Энергия передается по алюминиевым проводам сечением 95 мм
2 на расстояние 250 м. Определить мощность, получаемую потребителем.
Контрольные вопросы
1. Что называется электрическим сопротивлением?
2. От чего зависит электрическое сопротивление?
3. В каких единицах измеряется электрическое сопротивление?
4. Что называется удельным сопротивлением?
5. Как определить сопротивление проводника, если известны его длина, материал и сечение?
6. Что называется электрической проводимостью?
7. Как читается закон Ома для участка цепи?
8. Как подсчитать падение напряжения в проводах, если известны сопротивление проводов и ток нагрузки?
9. Как читается закон Ома для всей цепи и какова его формула?
10. Что называется коротким замыканием, каковы его последствия и как его предотвратить?
11. Как осуществляется последовательное соединение проводников?
12. Как осуществляется параллельное соединение проводников?
13. Как формулируется первый закон Кирхгофа?
14. Как осуществляется смешанное соединение проводников?
15. По каким формулам определяется общее сопротивление проводников, соединенных последовательно и соединенных
параллельно?
16. Как формулируется второй закон Кирхгофа?
17. По каким действиям можно судить о работе электрического тока?
18. В каких единицах измеряется работа (энергия) электрического тока?
19. Что называется электрической мощностью, каким прибором она измеряется и в каких единицах?
20. Как определить мощность, не имея ваттметра?
Содержание
< назад вперед >
|