|
Содержание
< назад вперед >
§ 17. МЕТОД УЗЛОВОГО НАПРЯЖЕНИЯ
В практических задачах встречаются цепи, имеющие всего две
узловые точки. Между узловыми точками может быть включено произвольное
количество ветвей. Расчет таких цепей значительно упрощается, если пользоваться
методом узлового напряжения.
Рассмотрим сущность этого метода.

На рис. 40 изображена разветвленная электрическая цепь с
двумя узловыми точками A
и Б, между которыми включены четыре параллельные ветви. Три первые ветви имеют
источники э. д. с. (генераторы) с э. д. с. Е1, Е2 и Е3.
Последовательно с генераторами в этих ветвях включены сопротивления r1, r2, r3 (к ним могут
быть отнесены и внутренние сопротивления самих генераторов). В последней
ветви включено сопротивление r4.
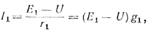
Положительные направления токов в каждой ветви выбраны от точки Б к точке А.
Если напряжение между узловыми точками А и Б обозначить U, то ток в первой ветви

т. е.

аналогично для остальных ветвей:

Применяя для узловой точкиА первый закон Кирхгофа, будем иметь

Заменив токи их выражениями, последнее уравнение записываем
так:


Мы получили формулу узлового напряжения (т. е. напряжения
между узловыми точками А и Б).
В числителе формулы представлена алгебраическая сумма
произведений э. д. с. ветвей на проводимости этих ветвей. В знаменателе формулы
дана сумма проводимостей всех ветвей. Если э. д. с. какой-либо ветви имеет
направление, обратное тому, которое указано на рис. 40, то она входит в формулу
для узлового напряжения со знаком минус. В общем виде формулу для узлового
напряжения можно записать так:

Пример 33. Дано:
э. д. с. генераторов Е1=Е2=110 В, внутренние сопротивления
генераторов: r01
= 0,2 Ом, r02
= 0,25 Ом, сопротивление внешней части цепи r = 1 Ом. Определить токи генераторов.
Вычисляем узловое напряжение:

Токи генераторов:

Ток нагрузки
Содержание
< назад вперед >
|