Разработка и производство сервоприводов,
бесколлекторных и вентильных двигателей, движитель (трастер) для телеуправляемого необитаемого подводного аппарата (ТНПА, ROV)

Адрес: Москва, ул.Большая Переяславская, д.9+7(985)928-61-99
Литье пластика на заказ
ДОКУМЕНТАЦИЯ
назад | оглавление | вперед

2.4.7.2. Мощность управления

Фазовое управление применяется сравнительно редко из-за большой мощности управления при малом коэффициенте сигнала.

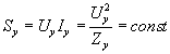
Так при неподвижном роторе полная мощность обмотки управления

,

(2.98)

т. е. не зависит от коэффициента сигнала, т. к. амплитудное значение напряжения управления остается неизменным, а обмотки управления и возбуждения электромагнитно не связаны. Другим недостатком фазового управления является сложность регулирования фазы управляющего сигнала.

 

назад | оглавление | вперед
+7(985)928-61-99 Москва, ул.Большая Переяславская, д.9