|
назад | оглавление | вперед
2.4.7.1. Механические и регулировочные характеристики идеализированного двигателя
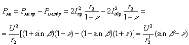
Электромагнитная мощность с учетом выражения для и (2.93):
|

|
(2.94) |
Следовательно, электромагнитный момент
|

|
(2.95) |
Принимая за базовую величину момент при круговом вращающемся поле и неподвижном роторе , находим относительное значение момента:
|
|
(2.96) |
Следовательно,
|

|
(2.97) |

Рис.2.31. Механические (а) и регулировочные (б) характеристики идеализированного двухфазного асинхронного двигателя при фазовом управлении
Механические характеристики (рис.2.31а) прямолинейны и параллельны. Наклон их при малых коэффициентах сигналов меньше, чем при амплитудном управлении (пунктирные линии). Это объясняется тем, что при одном и том же коэффициенте сигнала ток обратной последовательности при фазовом управлении больше, чем при амплитудном, вследствие чего, при фазовом управлении будет меньшей и скорость холостого хода.
Данное обстоятельство является существенным преимуществом фазового управления. Особенно ярко это преимущество проявляется при сравнении регулировочных характеристик. Как следует из выражения для регулировочные характеристики идеализированного двигателя при фазовом управлении линейны (рис.2.31б).
Характеристики реального двигателя при фазовом управлении нелинейны, а скорость холостого хода при будет больше, чем у идеализированного двигателя, что обусловлено влиянием индуктивных сопротивлений ротора и статора.
назад | оглавление | вперед
|