|
назад | оглавление | вперед
1.4. Магнитная цепь с переменной магнитодвижущей силой (МДС)
На рис. 1.7а показана схема подключения катушки с ферромагнитным сердечником к источнику синусоидального напряжения.

Рис. 1.7.а
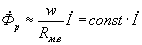
Из закона Ома для магнитной цепи (1.7) ( ) видно, что зависимость Ф=f(I) для катушки с ферромагнитным сердечником является нелинейной и ee характер определяется зависимостью B=f(H) (рис.1.7б). Так как L=w , то характер зависимости L=f(I) можно получить, построив зависимость (рис.1.7б).

Рис.1.7. Катушка с ферромагнитным сердечником, схема замещения ее магнитной цепи (а), зависимость магнитного потока и индуктивности катушки от тока (б).
Рассмотрим электромагнитные процессы в цепи катушки с ферромагнитным сердечником при подключении ее к синусоидальному напряжению (рис.1.8).

Рис.1.8. Схема замещения электрической цепи катушки с ферромагнитным сердечником
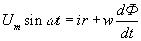
На основании второго закона Кирхгофа имеем:

Активное падение напряжения ir относительно мало и для анализа общего характера процесса им можно пренебречь:
,
отсюда
Ф = - 
Здесь A - постоянная величина магнитного потока, которая при питании синусоидальным напряжением (в установившемся режиме) равна нулю. Поэтому
|
,
|
(1.12) |
где
.
Будем считать, что начальная фаза потока равна 0, т.е. . Тогда , т.е. ЭДС отстает от индуцирующего ее потока на .
- уравнение трансформаторной ЭДС.
Связь между магнитным потоком и возбуждающим его током отображается петлей гистерезиса.

Рис.1.9. Построение кривой тока катушки с ферромагнитным сердечником
Используя синусоидальную кривую потока и частный цикл гистерезиса, построим зависимость i(t) (рис.1.9). Анализ этой кривой показывает, что гистерезисная петля приводит к появлению угла сдвига фаз между потоком и вызывающим его током. Насыщение сердечника приводит к появлению пика в кривой тока. Чем больше величина магнитной индукции в сердечнике, тем больше и острее этот пик, что говорит о несинусоидальности кривой тока.
Заменим несинусоидальный ток эквивалентным синусоидальным. Условием эквивалентности является равенство действующих значений этих токов и равенство потерь, которые они вызывают. Эта замена позволит использовать методы расчетов цепей синусоидального тока и построить векторную диаграмму для катушки с ферромагнитным сердечником. Так как между несинусоидальным током и потоком существует сдвиг фаз, то и эквивалентный синусоидальный ток опережает поток на угол , называемый углом магнитного запаздывания (рис.1.10).

Рис.1.10. Векторные диаграммы магнитного потока, ЭДС и тока катушки с ферромагнитным сердечником
Величина угла определяется потерями в ферромагнитном проводнике от действия гистерезиса и вихревых токов.
Рассмотрим распределение магнитного потока в ферромагнитном сердечнике катушки (рис.1.11).

Рис.1.11. К определению магнитного потока рассеяния в катушке с ферромагнитным сердечником
Хотя магнитная проницаемость сердечника в несколько тысяч раз больше магнитной проницаемости воздуха, часть магнитного потока катушки замыкается не по сердечнику, а по воздуху. Эта часть потока носит название потока рассеивания Фр (рис. 1.11). Таким образом, полный поток, сцепленный с витками катушки равен
|
.
|
(1.14) |
На основании закона Ома для магнитной цепи (1.7) можно написать выражение для потока рассеяния:
|
.
|
(1.15) |
Так как , то .
То есть поток рассеяния , в отличие от потока в сердечнике, совпадает по фазе с током и связан с ним линейной зависимостью. Следовательно, на векторной диаграмме вектор потока будет совпадать с вектором тока (рис.1.12).

Рис.1.12. Векторная диаграмма магнитных потоков, ЭДС и токов катушки с ферромагнитным сердечником
Будем считать, что все витки обмотки катушки с ферромагнитным сердечником сцеплены с Фр, тогда
;
Lр= ;
;
;
; m= = ;
;

Величина называется индуктивным сопротивлением рассеяния.
В уравнении, составленном на основании 2-го закона Кирхгофа для электрической цепи катушки
с ферромагнитным сердечником, к разности добавится
:
U= - e + ri - eр= -e + ri + Lр .
В комплексной форме
где
Z= r+jxр; xр= .
На рис.1.13 построена векторная диаграмма катушки с ферромагнитным сердечником.

Рис.1.13 Полная векторная диаграмма катушки с ферромагнитным сердечником
Разложим вектор тока катушки на две составляющие:
; .
Используя векторную диаграмму, получим эквивалентную схему замещения катушки с ферромагнитным сердечником (рис.1.14).

Рис.1.14. Схема замещения катушки с ферромагнитным сердечником
Из уравнения трансформаторной ЭДС (1.13) определяем число витков катушки:
w= ; ( выбирается в пределах .)
Ток намагничивания определяется по формуле:
|
Iф= . |
(1.18) |
Ток потерь в сердечнике:
|
In . |
(1.19) |
Полный намагничивающий ток катушки:
|
I= . |
(1.20) |
Приведем выражения, позволяющие рассчитать потери в сердечнике от гистерезиса и от вихревых токов. Потери в сердечнике от гистерезиса пропорциональны площади петли гистерезиса. Следует иметь ввиду, что ширина петли гистерезиса растет с увеличением частоты.
|
,
|
(1.21) |
где
- коэффициент потерь на гистерезис, зависящий от материала сердечника;
f - частота;
G - вес сердечника;
n=1,6 при Bm<1Тл и n=2 при Bm>1Тл.
Под действием переменного магнитного потока в сердечнике возникают вихревые токи (рис. 1.15).

Рис. 1.15 К эффекту возникновения вихревых токов в ферромагнитном сердечнике
Пусть вектор магнитного потока направлен, как показано на рис.1.15. Тогда в сердечнике, в плоскости перпендикулярной потоку возникнет ЭДС, под действием которой возникнут вихревые токи. Направление ЭДС таково, что создаваемый ими поток уменьшает вызвавший ЭДС поток . Для уменьшения потерь от вихревых токов сердечники (до частоты 20 кГц) собираются из листов ферромагнитного материала, изолированных друг от друга лаком. Другой способ уменьшения потерь от вихревых токов - увеличение сопротивления самого ферромагнитного материала за счет добавления нескольких процентов кремния, что оказывает незначительное влияние на его магнитные характеристики. При частотах до 50 МГц применяются сердечники из магнитодиэлектриков - прессмасс, состоящих из зерен ферромагнитного вещества, разделенных диэлектриком.
Потери на вихревые токи
|
;
|
(1.22) |
где
- коэффициент потерь от действия вихревых токов;
- коэффициент, учитывающий изоляцию листов.
назад | оглавление | вперед
|