назад | оглавление | вперед
Министерство общего и профессионального образования
Российской Федерации
Санкт - Петербургский государственный институт точной
механики и оптики
(технический университет)
Кафедра электротехники
и прецизионных электромеханических систем
Кардонов Г. А.
Курс лекций
по "Электрическим машинам"
Санкт - Петербург
2002
1. Расчет магнитных цепей
(общие сведения)
1.1. Магнитные цепи c постоянной магнитодвижущей силой
Магнитное поле представляет собой состояние материальной среды, обусловленное действием тока. Основной характеристикой магнитного поля является вектор магнитной индукции . Величина и направление зависит как от конфигурации проводника с током, так и от характеристик среды. Зависимость от свойств среды выражается уравнением:
|
= ,
|
(1.1) |
где
- вектор напряженности магнитного поля;
- магнитная проницаемость вакуума;
- абсолютная магнитная проницаемость;
- относительная магнитная проницаемость.
У ферромагнитных материалов величина исключительно высока, но не постоянна; она изображается кривой намагничивания или дается в табличной форме. Для неферромагнитных тел зависимость имеет линейный характер.
Между напряженностью H и током I существует взаимосвязь, носящая название закона полного тока (второй закон Кирхгофа для магнитной цепи):
|
,
|
(1.2) |
где - магнитодвижущая сила (МДС).
Если имеет то же направление, что и , то при w=1 (рис. 1.1)
|

|
(1.3) |


Рис.1.1. К закону полного тока (второй закон Кирхгофа для магнитной цепи)
Для катушек с числом витков wk имеем:
.
Единица измерения H [ ].
Единица измерения B [Тл]; 1Тл=1 .
Магнитной цепью называют совокупность устройств, содержащих ферромагнитные тела, служащие для сосредоточения магнитного потока. Так как линии магнитной индукции замкнуты, то поток вектора магнитной индукции через замкнутую поверхность равен нулю:
|
Ф= . |
(1.4) |
Из этого выражения следует:
в неразветвленной магнитной цепи поток Ф на всех участках одинаков, а в разветвленной цепи связь между потоками подчиняются первому закону Кирхгофа:
|
Ф1+Ф2+... = =0. |
(1.5) |
Если вектор магнитной индукции одинаков во всех точках сечения S неразветвленной цепи и направлен перпендикулярно этому сечению, то его поток Ф= можно записать
как
|
,
|
(1.6) |
(индекс к указывает участок, где B и S неизменны). BК= .
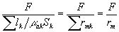
Подставив Bk в выражение полного тока, получим: или .
Отсюда получаем закон Ома для магнитной цепи:
|
Ф = , |
(1.7) |
где
- магнитное сопротивление цепи, имеющее размерность [ ]
При неизменном S и 
|
.
|
(1.8) |
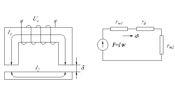
Если магнитная цепь состоит из нескольких участков с различными и S (рис.1.2), то при расчете ее разбивают на участки с постоянными магнитной проницаемостью и сечением (рис. 1.2).

Рис.1.2.Схема электромагнитного реле (а) и схема замещения его магнитной цепи (б)
; ; 
При расчете этой цепи закон Ома может быть применен в случае, если ее можно свести к линейной, то есть при выполнении неравенства , так как функция B=f(H) нелинейная и имеет вид гистерезиса (рис.1.3).

Рис.1.3. Симметричная петля гистерезиса.
Ферромагнитные материалы с широкой петлей гистерезиса (Hc>4000 ) называют магнитотвердыми; их применяют для изготовления постоянных магнитов. Ферромагнитные материалы с узкой петлей гистерезиса (Hc<200 ) называются магнитомягкими; их применяют при изготовлении устройств, работающих в переменных магнитных полях.
Основная кривая намагничивания ферромагнитного материала, которая приводится в справочниках - это кривая, проходящая через вершины семейства его петель гистерезиса.
При расчетах магнитной цепи решаются две задачи: а) прямая задача расчета, которая заключается в определении МДС Iw по заданному потоку и б) обратная задача, когда по заданному значению МДС требуется определить поток Ф.
При решении прямой задачи по заданному потоку определяют индукцию на каждом участке магнитной цепи. Затем, пользуясь основными кривыми намагничивания, находят напряженность Hk. Зная Hklk ,определяют МДС F= .
Обратную задачу решают методом последовательного приближения. Задаваясь различными значениями потока Ф и рассчитав соответствующие значения МДС F, строят кривую Ф=f(F). По этой кривой для заданного значения F определяют искомое значение Ф.
назад | оглавление | вперед
| |