Разработка и производство сервоприводов,
бесколлекторных и вентильных двигателей, движитель (трастер) для телеуправляемого необитаемого подводного аппарата (ТНПА, ROV)

Адрес: Москва, ул.Большая Переяславская, д.9+7(985)928-61-99
Литье пластика на заказ
ДОКУМЕНТАЦИЯ

ГЛАВА 5.ЭЛЕКТРОМАШИННЫЕ ИЗМЕРИТЕЛЬНО-ПРЕОБРАЗОВАТЕЛЬНЫЕ УСТРОЙСТВА ДЛЯ ИСПОЛНИТЕЛЬНЫХ МЕХАНИЗМОВ С ОБРАТНОЙ СВЯЗЬЮ

§5.3. Асинхронные тахогенераторы

Тахогенераторами называют электрические микромашины, работающие в генераторном режиме и служащие для преобразования угловой скорости в пропорциональный электрический сигнал. Выходная характеристика тахогенератора, т.е. зависимость между выходной величиной – напряжением Uвых выходной обмотки и входной величиной – угловой скоростью вала ω, имеет вид

,(5.12)

где θ2- угол поворота ротора тахогенератора;

Ктг - коэффициент передачи, равный крутизне тахогенератора ;

Sтг= Δ Uвых/Δ ω2 - крутизна.

Как видно, тахогенератор можно использовать для электромеханического дифференцирования, если функцию задавать в виде угла поворота ротора.

Основные требования, предъявляемые к тахогенераторам, состоят в следующем: минимальная погрешность отображения функциональной зависимости, под которой понимают отклонение выходной характеристики от линейной зависимости; минимальное изменение фазы выходной ЭДС при изменении угловой скорости ротора; максимальная крутизна.

Конструкция и принцип действия. Конструкция асинхронных тахогенераторов аналогична конструкции исполнительных асинхронных двигателей с полым немагнитным ротором.

Рассмотрим принцип работы асинхронного тахогенератора. Для этого воспользуемся эквивалентной схемой, представленной на рис. 5.5. На этой схеме для упрощения качественного анализа полый ротор заменен конечным числом проводников, замкнутых накоротко в торцах. Для наглядности дальнейших пояснений проводники расположены в два слоя, хотя в действительности проводящий слой ротора единый. К обмотке статора В подводится неизменное по амплитуде и частоте напряжение возбуждения U1. Вторая обмотка статора Г является генераторной ,и с её выводов снимается выходной сигнал Ег. В общем случае обмотка замкнута на нагрузочное сопротивление Zн.

Рис.5.5

При неподвижном роторе ЭДС Ег в генераторной обмотке равна нулю, так как вектор магнитного потока обмотки возбуждения Фв перпендикулярен оси этой обмотки.

Приведем ротор тахогенератора во вращение с угловой скоростью ?2. По оси В, как и в предыдущим случае, пульсирует магнитный поток Фв, который в первом приближении можно считать не зависящим от ω2. Проводники ротора вращаются в поле Фв, и в них наводится ЭДС вращения Евр . При Фв =const ЭДС Евр является линейной функцией угловой скорости ротора. Под действием ЭДС вращения в обмотке ротора течет ток Iвр и создается магнитный поток Фг. Направление потока Фг, определенное по мнемоническому правилу буравчика, совпадает с осью генераторной обмотки Г. Поскольку ток Iвр прямо пропорционален ЭДС Евр, то созданный этим током магнитный поток Фг прямо пропорционален угловой скорости ротора ω2. Частота пульсации Фг совпадает с частотой напряжения возбуждения f1. Магнитный поток Фг индуцирует в генераторной обмотке статора трансформаторную ЭДС Ег= 4,44f1Фгwг.эф, где wг.эф – число эффективных витков обмотки Г.

Поскольку поток Фwг прямо пропорционален угловой скорости ротора, то при принятом допущении о постоянстве потока Фв функция Ег=f(ω2) является линейной. Частота выходной ЭДС Ег совпадает с частотой f1 потока и напряжения возбуждения и не зависит от угловой скорости ротора ω2.

В действительности магнитный поток Фв несколько уменьшается при увеличении угловой скорости ротора ω2, т.к. возрастает размагничивающее действие токов ротора. Выходная характеристика тахогенератора Ег=f(ω2) отклоняется от линейной зависимости, т.е. появляется погрешность отображения функциональной зависимости.

Если замкнуть обмотку Г на нагрузочное сопротивление Zн, то по ней потечет ток Iг. Поток Фг будет создаваться геометрической суммой МДС ротора и обмотки статора Г, что скажется на амплитуде ЭДС Ег. Кроме того, само выходное напряжение Uг будет определяться геометрической разностью ЭДС Ег и падением напряжения на собственном сопротивлении обмотки Zг, т.е. . Указанные физические процессы обуславливают вид выходной характеристики тахогенератора при работе с нагрузкой.

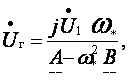
Выходная характеристика. В общем случае уравнение выходной характеристики имеет вид

(5.13)

где А и В - комплексные коэффициенты, зависящие от сопротивлений обмоток и нагрузки.

Наличие в знаменателе этого выражения квадрата относительной скорости ω*2 свидетельствует о нелинейности выходной характеристики и изменении фазы выходного напряжения тахогенератора.

Для идеального тахогенератора, не имеющего указанной погрешности, уравнение выходной характеристики получают из выражения 5.13 при ω*2В=0.

Выходные характеристики, построенные по уравнению (5.13) для режимов х.х. и активной нагрузки, представлены на рис. 5.6,а, где

Uг*=Uг/U1 (пунктиром показаны идеальные линейные характеристики).

Рис. 5.6

Изменение выходного напряжения Uг и крутизны Sтг под влиянием значения и характера нагрузочного сопротивления определяются изменением комплексных коэффициентов А и В в выражении (5.13) и графически представлено на рис. 5.6,б.

Физическое обоснование зависимостей Uг, Sтг= f(XнснL,R) уже было дано при рассмотрении принципа работы тахогенератора. Здесь только следует отметить, что в случае емкостной нагрузки при определенном значении Хнс в цепи выходной обмотки имеет место резонанс напряжений. У современных асинхронных тахогенераторов крутизна при Zн>>Zг находится в диапазоне (1-10) мВ/(об/мин).

Погрешности и классы точности. Асинхронные тахогенераторы относятся к информационным устройствам, и их погрешности принято подразделять на принципиальные, конструктивные, технологические и эксплуатационные.

Асинхронные тахогенераторы имеют несколько классов точности в зависимости от уровня погрешностей. При определении погрешности отображения функциональной зависимости эталонная характеристика представляет собой прямую, проведенную в установленном диапазоне угловой скорости; у тахогенераторов различного класса погрешность составляет от 0,025 до 1 %. Остаточная ЭДС – ЭДС при неподвижном роторе, вызываемая погрешностями технологии, – определяется как наибольшая остаточная ЭДС по основной гармонике в пределах оборота ротора, отнесенная к крутизне тахогенератора; у тахогенераторов различных классов приведенное значение остаточной ЭДС составляет (15–50) об/мин.

Существенными достоинствами асинхронных тахогенераторов являются высокая надежность, благодаря отсутствию скользящих контактов, и простота конструкции. К недостаткам асинхронных тахогенераторов следует отнести принципиальную нелинейность выходной характеристики и невысокую крутизну.

Назад | Оглавление | Вперед
+7(985)928-61-99 Москва, ул.Большая Переяславская, д.9