2.4. Механическая часть электропривода, как объектсистемы автоматического управления
Полученные уравнения движения позволяют проанализировать механическую
часть электропривода, как объект системы автоматического регулирования и управления
и представить его в виде динамического звена.
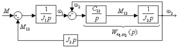
Воспользовавшись уравнением движения двухмассовой механической системы (2.21):

структурную схему двухмассовой
упругой механической части без учёта внутреннего демпфирования можно
представить в виде (рис.2.12):

а)

б)

в)

г)
Рис. 2.12. Структурные схемы двухмассовой упругой механической части электропривода без
учета внутреннего демпфирования
Для исследования свойств
рассматриваемой системы примем возмущения и перенесём внутреннюю
связь по упругому моменту на выход системы (рис. 2.12б).
Теперь нетрудно определить передаточную функцию, связывающую выходную
координату со скоростью ω1:

В соответствии со схемой рис. 2.12б передаточная функция прямого канала
для координаты ω1:

а
обратной связи:

Следовательно, искомая передаточная функция определится как (рис. 2.13):

Рис. 2.13. Передаточная функция замкнутой системы.







Следовательно, искомая передаточная функция может быть
записана в виде:
(2.24)
Характеристическое уравнение системы:

Корни характеристического уравнения:

где
Ω1,2 –
резонансная частота двухмассовой упругой системы.
Введём следующие обобщенные параметры двухмассовой
упругой системы:
- соотношение масс;
- резонансная частота системы;
- резонансная частота второй массы при жёсткой заделке первой ( ).
С учётом этих обозначений можно
записать:
 
Таким
образом, имеем:
(2.25)
(2.26)
Полученные
соотношения позволяют представить механическую часть как объект управления в
виде трёх звеньев, показанных на рис. 2.12в. Из этой схемы находим передаточную функцию системы по
управляющему воздействию при выходной переменной :
(рис.2.12г)
Для
анализа системы найдём амплитудо-частотную (АЧХ) и фазо-частотную (ФЧХ)
характеристики, для чего подставим ( ) в выражение для выражения :
(2.27)
где
- АЧХ;
- ФЧХ.
Асимптотические
логарифмические характеристики могут быть построены непосредственно по
полученным передаточным функциям (рис. 2.14).
В соответствии с выражением для система может быть представлена последовательным соединением
интегрирующего звена, формирующего звена второго порядка с частотой сопряжения и идеального
колебательного звена с резонансной частотой . При имеет место нуль передаточной функции и ЛАЧХ терпит разрыв,
стремясь к (-∞) (lg0→-∞). При Ω=Ω12 имеет место полюс передаточной функции
и амплитуды стремятся к (+∞), образуя второй разрыв.
Низкочастотная асимптота определяется интегрирующим звеном с коэффициентом,
обратно пропорциональным JΣ и
соответственно имеет наклон –20 дБ/дек. Высокочастотная асимптота (Ω»Ω12)
соответствует также интегрирующему звену, но при коэффициенте в γ раз большем, чем в области низких частот. В этом
можно убедиться, устремив в ∞ частоту Ω в
(2.27).
В
низкочастотной области сдвиг между колебаниями составляет -90˚
и определяется интегрирующим звеном. При значениях , соответствующих выражению , меняет знак числитель выражения (2.27), что соответствует
уменьшению фазового сдвига на 180˚ . Затем на частоте аналогично изменяется
знак знаменателя, и фазовый сдвиг вновь принимает значение -90˚
в соответствии с высокочастотной асимптотой ЛАЧХ.
На рис. 2.14б
представлены логарифмические характеристики механической части электропривода
по управлению по выходной переменной . Они построены по передаточной функции . В низкочастотной области ЛАЧХ совпадает с , разрыв имеет место только на резонансной частоте и в высокочастотной
области стремится к асимптоте с наклоном -60дБ/дек. Соответственно фазовый
сдвиг при этом составляет -270˚.
Проанализируем
основные свойства механической части, воспользовавшись ее структурной схемой и
частотными характеристиками. При этом обратим внимание на различие во влиянии
упругости на движение первой и второй масс. Движение первой массы при небольших
частотах колебаний управляющего воздействия М определяется суммарным моментом
инерции , причем механическая часть ведет себя как интегрирующее
звено. В частности, при M=const скорость изменяется по
линейному закону, на который накладываются колебания, обусловленные обратной
связью. Иными словами, интегрирующее звено характеризует условия движения
механической части в среднем.
При
приближении частоты колебаний момента к резонансной , амплитуды колебаний скорости возрастают и при выполнении равенства стремятся к бесконечности.
Проявления
резонанса существенно зависят от параметров механической части в связи с
наличием в числителе передаточной функции форсирующего звена второго порядка. Можно выявить условия,
при выполнении которых влияние упругости на движение первой массы будет
незначительным.
Во-первых, из
выражения (2.27) непосредственно следует, что если механизм обладает небольшой
инерцией , то движение первой массы близко к движению, определяемому
интегрирующим звеном . Во-вторых, из (2.27) видно, что при значениях в области малых и
средних частот движение первой массы определяется тем же интегрирующим звеном.
Отсюда вытекает важный практический вывод.
Если при
синтезе электропривода используются обратные связи только по переменным
двигателя, то при значениях или , где - частота среза желаемой ЛАЧХ разомкнутого контура
регулирования, механическую часть электропривода можно представить жестким
механическим звеном, не учитывая влияния упругостей (рис. 2.15).
В соответствии
с передаточной функцией и рис. 2.14б, колебательность
второй массы выше, чем первой. В низкочастотной области
асимптоты ЛАЧХ и совпадают, т.к. в среднем движение второй массы, как и
первой, определяется действием интегрирующего звена . Однако при наклон высокочастотной
асимптоты составляет -60дБ/дек и
нет факторов, противодействующих развитию резонансных явлений при любых γ.
а)

б)
Рис. 2.14.
Логарифмические частотные характеристики двухмассовой
упругой системы по управляющему воздействию (а - при выходной переменной ; б - при выходной переменной ).

Рис.
2.15. Структурная схема механической части электропривода с жесткими
механическими связями.
Следовательно,
во всех случаях, когда важно получить требуемое качество движения второй массы,
а также при регулировании ее координат, пренебрегать влиянием упругости
механических связей нельзя.
Учет
естественного демпфирования существенно не сказывается на форме ЛАЧХ и ЛФЧХ
системы, однако ограничивает резонансный пик конечными значениями (как показано
на рисунках 2.14а и 2.14 б).
Сочетания параметров,
при которых или достаточно
распространены. Поэтому во многих случаях, когда это допустимо, используется
представление механической части в виде жесткого приведенного звена.
назад | ОГЛАВЛЕНИЕ | вперед
|