|
Содержание Главная (библиотека) Предыдущий § Следущий
4-11. внезапное короткое замыкание синхронной машины
В синхронной машине, так же как и в любой другой электрической машине, при переходе от одного установившегося режима работы к другому возникает ряд явлений, изучение которых имеет важное значение, так как на практике с ними часто приходится иметь дело. Эти явления переходного процесса возникают вследствие изменения энергии магнитных полей машины, а также вследствие изменения кинетической энергии ее вращающихся частей.
Изменение кинетической энергии вызывается нарушением равновесия вращающих моментов, действующих на ротор машины. Возникающие при
этом переходные процессы, если машина работает параллельно с другими синхронными машинами, характеризуются колебаниями скорости около синхронной. Эти колебания («качания») синхронной машины будут рассмотрены в следующем § 4-12.
Мы здесь рассмотрим главным образом переходные процессы, которые обусловлены изменением энергии магнитных полей. Они возникают при всяком нарушении режима работы синхронной машины и особенно резко проявляются при внезапном коротком замыкании обмотки статора. В этом случае в обмотках статора и ротора возникают очень большие токи, во много раз превышающие их номинальные значения. Такие токи опасны не только для самой машины, но и для аппаратуры и других элементов распределительных устройств электрических станций и подстанций, с которыми она связана. В машине они создают значительные механические силы, особенно опасные для лобовых частей обмоток статора. Кроме того, создаются большие вращающие моменты, действующие на ротор и статор, которые также необходимо иметь в виду при конструировании машины.
Точное исследование процессов, возникающих в синхронной машине при ее внезапном коротком замыкании, весьма сложно1. Поэтому приходится ограничиваться приближенным исследованием, основанным на ряде допущений.
Мы здесь рассмотрим эти процессы только с физической стороны и напишем некоторые соотношения, характеризующие их.
Рассмотрим сначала трехфазное короткое замыкание и примем, что скорость вращения при этом остается неизменной. Будем считать, что активные сопротивления всех контуров машины равны нулю. Тогда согласно закону Ленца, который в этом случае называют «законом постоянства потоков сцеплений», потокосцепления контуров. должны остаться неизменными.
Пусть короткое замыкание произошло при холостом ходе машины, ко-
1 См., например, А. И. Важнов, Основы теории переходных процессов синхронной машины, Госэнергоиздат, 1960.
гда ось рассматриваемой фазы статора совпадала с осью полюсов, когда, следовательно, ее потокосцепление было наибольшим. При повороте ротора поток полюсов, сцепляющийся с этой фазой, будет уменьшаться и сделается равным нулю, когда ротор повернется на 90 эл. град. В фазе возникнет ток, стремящийся поддержать прежнее значение потокосцепления. При дальнейшем повороте ротора на 90 эл. град ток в фазе статора еще больше увеличивается, так как он должен не только создать прежнее потокосцепление, но и противодействовать н. с. обмотки возбуждения. Когда ротор снова повернется на 180 эл. град, т. е. займет исходное положение, то ток фазы, будет равен нулю.
Мы можем считать, что ток в фазе будет иметь две составляющие: периодическую и апериодическую. Периодические токи фаз статора создадут вращающуюся н. с, неподвижную относительно полюсов. Ее ось совпадает с осью полюсов, так как эти токи можно рассматривать как чисто реактивные. Апериодические токи фаз статора создают поле, неподвижное относительно статора (неподвижное в пространстве).
Можно провести аналогию с трансформатором и принять при этом, что короткое замыкание обмотки статора аналогично включению короткозамкнутого трансформатора на синусоидальное напряжение (в. д. с. обмотки статора соответствует напряжению, приложенному к трансформатору).
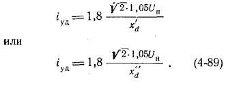
Наибольшее значение тока в фазе статора получается по аналогии с трансформатором в том случае, если наведенная в ней э. д. с. в момент короткого замыкания была равна нулю. Оно получается, спустя полпериода после короткого замыкания, и принимается равным:
 Это наибольшее возможное значение тока при трехфазном коротком замыкании называется ударным током
короткого замыкания. В (4-89) взят коэффициент 1,8 вместо 2, чтобы учесть затухание апериодической составляющей тока короткого замыкания. Принимается, что короткое замыкание произошло при
 Токи в обмотках машины при неустановившемся процессе короткого замыкания затухают, чему соответствует уменьшение энергии магнитных полей, сцепляющихся с обмотками, так как в действительности активные сопротивления обмоток не равны нулю. На рис. 4-88 приведены осциллограммы токов обмоток при трехфазном коротком замыкании. Мы видим, что вначале ток статора быстро затухает в соответствии главным образом с затуханием апериодической составляющей тока в успокоительной обмотке. Этот процесс быстрого затухания тока принято называть сверхпереходным. Далее мы имеем переходный процесс до установившегося режима короткого замыкания. Здесь амплитуда переходного тока затухает в соответствии (в основном) с затуханием апериодической составляющей тока в обмотке возбуждения. Апериодическая составляющая тока статора затухает довольно быстро; в соответствии с ней затухают переменные токи в успокоительной обмотке и в обмотке возбуждения.
Ударный ток короткого замыкания создает очень большие электромагнит-
 Рис. 4-88. Осциллограммы токов при трехфазном коротком замыкании. а - тока фазы статора i1, (при е0 = 0 а момент замыкания); б — тока а обмотке возбуждения iв; в — тока в успокоительной обмотке iу.
ные (механические) силы, действующие на лобовые части обмотки статора; поэтому они должны быть надежно укреплены. Особенно это важно для больших машин с малым числом полюсов (турбогенераторы), имеющих относительно длинные лобовые части. Они здесь укрепляются при помощи бандажных колец К, охватывающих лобовые части и укрепленных в свою очередь при помощи кронштейна В (рис. 4-89). Каждая катушка обмотки привязывается прочным шнуром к бан-
 Рис. 4-89. Крепления лобовых частей статорной обмотки турбогенератора.
дажным кольцам и, кроме того, между катушечными сторонами укрепляются дистанционные прокладки из изоляционного материала, чтобы предотвратить тангенциальные смещения катушечных сторон, особенно в местах их выхода из пазов.
Как отмечалось, создаются также очень большие моменты, действующие на статор и ротор. Их мгновенные значения особенно велики при двухфазном коротком замыкании. В этом случае они достигают примерно 10-кратного значения по сравнению с номинальным моментом. На такие моменты должны быть рассчитаны, например, болты, укрепляющие машину на фундаменте. Что касается вала и-муфты, соединяющей синхронную машину с первичным двигателем, или с возбудителем, или с каким-либо рабочим механизмом, то момент Мв, действующий на них, будет зависеть от соотношения между маховым моментом (GD2) с ротора синхронной машины и внешним маховым моментом (GD2)вн.
где Мк — наибольшее мгновенное значение электромагнитного момента при двухфазном коротком замыкании.
Содержание Главная (библиотека) Предыдущий § Следущий
|