|
Содержание Главная (библиотека) Предыдущий § Следущий
4-3. Трехфазный синхронный генератор. Симметричная нагрузка
Рассмотрим здесь работу трехфазного синхронного генератора при симметричной нагрузке, когда векторы фазных токов равны по величине и сдвинуты по фазе на 120°. При этом будем иметь в виду одиночную работу генератора, когда он работает на свою собственную сеть независимо от других синхронных машин.
а) Реакция якоря. Токи в обмотке якоря создают н. с, которая будет вращаться относительно якоря в

 Синхронная машина, работающая с постоянным током возбуждения, аналогична трансформатору последовательного включения (трансформатору тока), работающему с постоянным первичным током.
б) Индуктивное сопротивление рассеяния обмотки якоря. Понятие индуктивного сопротивления рассеяния как некоторого параметра обмотки якоря синхронной машины аналогично тому же самому понятию в применении к обмотке статора асинхронной машины.
Поле рассеяния якоря можно представить себе сцепленным только с обмоткой якоря и не зависящим от других полей машины. Магнитные линии этого поля проходят между стенками пазов, между коронками зубцов статора и вокруг лобовых частей его обмотки. Можно считать, что потоко-сцепление рассеяния определяется только магнитной проводимостью тех воздушных промежутков, по которым проходят магнитные линии поля рассеяния. Поэтому можно принять, что
Для явнополюсных машин указанное допущение не может быть принято, так как здесь поле, созданное результирующей н. с, зависит от положения оси этой н. с. относительно оси полюсов. Поэтому для учета реакции якоря в явнополюсных машинах применяется другой метод — именно ме-год двух реакций, который был предложен А. Блонделем (A. Blondel). Диаграммы, построенные на основе этого метода, называются также диаграммами Блонделя.
д) Диаграммы явнополюсной машины. Метод двух реакций основан на разложении н. с. якоря на две н. с. — продольную и поперечную.
Продольная н. с. якоря
 
Рис. 4-18. Диаграмма явнополюсной машины.
машины, имеющей максимальные индукции в стальных участках магнитной цепи, не превышающие примерно 10000 гс.
Для реальной машины, работающей с насыщенной магнитной цепью, раздельное рассмотрение продольного и поперечного полей не может быть теоретически обосновано. Однако с некоторым приближением и для насыщенной машины можно принять, что продольное и поперечное поля существуют независимо одно от другого, так как поперечное поле обычно в большой степени ослабляется из-за наличия междуполюс-ных промежутков.
синхронным индуктивным сопротивлением по поперечной оси.
После замены в диаграмме на рис. 4-29 э. д. с. соответствующими индуктивными падениями напряжения она получает вид, представленный на рис, 4-30. Полученную диаграмму условно называют видоизмененной. При ее построении предполагалось, что машина ненасыщена; поэтому использовались так называемые ненасыщенные значения параметров хd и хq. В действительности при нормальных условиях работы машины стальные участки ее магнитной цепи будут насыщенными, вследствие чего xd и xq будут меньше их ненасыщенных значений.
Индуктивное сопротивление хq приближенно считают постоянной величиной, не зависящей от насыщения.
Величину xad можно определить по значению э. д. с. Еаd, условно учитывающему насыщение по продольной оси, или по значению э. д. с. E'ad, приближенно соответствующему действительному насыщению по продольной оси (см. рис. 4-24). Очевидно, что индуктивное сопротивление xd не может считаться постоянной величиной — оно будет изменяться с насыщением машины.
Как отмечалось, в основу метода двух реакций положено допущение независимости друг от друга продольного и поперечного магнитных полей машины. Это позволяет процессы в машине рассматривать отдельно по ее продольной и поперечной осям.
 Рис. 4-30. Видоизмененная диаграмма ненасыщенного явнополюсного генератора.
 Рис. 4-31. Продольное поле реакции якоря и поле рассеяния (а). Схема замещения по продольной оси (б).
 Рис. 4-32. Поперечное поле реакции якоря и поле рассеяния (а). Схема замещения по поперечной оси (б).
Тогда получим распределение поля, схематически показанное на рис. 4-32,а. В этом случае по данным измерений тока, напряжения и мощности можно было бы найти xq= xσ+xaq. Схему замещения для поперечной оси машины можно начертить, как показано на рис. 4-32,б.
Проведение указанных опытов связано, однако, с большими практическими затруднениями; поэтому для определения xd и xq применяются другие методы, в частности, так называемый метод скольжения, который заключается в следующем.
Ротор с разомкнутой обмоткой возбуждения приводится во вращение в сторону вращения поля статора со скоростью, несколько меньшей (или большей), чем скорость поля. Статор в это время получает трехфазный ток от постороннего источника. Ось полюсов будет перемещаться относительно оси н. с. статора со скоростью скольжения, которое должно быть установлено по возможности небольшим. При совпадении оси н. с. статора с продольной осью машины индуктивное сопротивление обмотки статора будет наибольшим, равным xd. При совпадении оси н. с. статора с поперечной осью машины индуктивное сопротивление обмотки статора будет наименьшим, равным xq. Соответственно изменению индуктивного сопротивления
 
з) Применение системы относительных единиц в теории синхронных машин. Система относительных единиц или долевых значений в настоящее время широко применяется при всякого рода практических расчетах, связанных с исследованием синхронных машин. К ее основным преимуществам нужно отнести то, что она облегчает расчеты, так как здесь при вычислениях приходится иметь дело с величинами, близкими к единице, а также то, что результаты расчетов в системе относительных единиц для машин различных типов и различной мощности мало отличаются друг от друга и поэтому легко позволяют производить сравнение машин.
При этой системе величины, характеризующие режим работы машины, и ее параметры выражаются не
 и) Характеристики и векторные диаграммы. При исследовании синхронных генераторов, так же как и при исследовании других электрических машин, обращаются к их характеристикам, т. е. к кривым, определяющим зависимости между величинами, характеризующими рабочие режимы машины.
Обычно синхронные генераторы работают с постоянной скоростью вращения, что обусловлено необходимостью поддерживать постоянной частоту тока. Поэтому в дальнейшем мы будем рассматривать характеристики, которые получаются при постоянной скорости вращения.
Одной из важнейших характеристик является рассмотренная ранее характеристика холостого хода. Она влияет на форму почти всех других кривых синхронной машины, характеризующих ее работу при нагрузке.
Характеристики генератора могут быть сняты опытным путем. Их также можно построить по характеристике холостого хода и параметрам машины, полученным расчетным или опытным путем. Такое построение позволяет выявить влияние различных параметров машины на ее характеристики. Оно будет показано в дальнейшем. Одновременно с этим будут рассмот-
 Рис. 4-35. Схемы для опытов короткого замыкания.
 Рис. 4-36. Диаграммы короткозамкнутого генератора. а — явнополюсиого; б — неявнополюсного.
 При снятии этой характеристики опытным путем используются схемы, приведенные на рис. 4-35,а и б. Для схемы на рис. 4-35,а необходимо иметь три одинаковых амперметра. Обычно опыт проводится при схеме на рис. 4-35,б. Некоторая несимметричность отдельных цепей в данном случае допустима, так как сопротивление амперметра значительно меньше сопротивления отдельных фаз обмотки.
Характеристика короткого замыкания, как увидим из построения ее расчетным путем, должна идти в виде прямой линии.
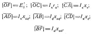
Обратимся к векторным диаграммам короткозамкнутого генератора.
На рис. 4-36,а представлена диаграмма явнополюсного генератора, на которой:
  Рис. 4-67. Индукционная нагрузочная характеристика и определение сторон реактивного треугольника.
 Рис. 4-39. Характеристики холостого хода турбогенераторов (т) и гидрогенератора (г) (к построению векторных диаграмм на рис. 4-40 и 4-41).
Содержание Главная (библиотека) Предыдущий § Следущий
|