|
Содержание Главная (библиотека) Предыдущий § Следущий
3-18. Рабочие характеристики двигателей
а) Определение рабочих характеристик опытным путем. Под рабочими характеристиками или рабочими кривыми асинхронного двигателя обычно понимаются следующие зависимости:
 Определение рабочих характеристик путем непосредственного измерения указанных величин обычно не дает достаточно точных результатов, так как
 Рис. 3-54. Рабочие характеристики двигателя на 10 квт, 220/380 в, 1 500 об/мин.

  Рис. 3-55. Построение круговой диаграммы асинхронной машины.
 
Определение пусковых характеристик (§ 3-19) по круговой диаграмме не может быть точным, так как при больших токах и скольжениях параметры машины перестают быть постоянными и диаграмма тока перестает быть круговой. Она может быть использована только для построения рабочих характеристик и приближенно для определения Мм.
По круговой диаграмме могут быть также найдены основные величины,
 в) Определение рабочих характеристик расчетным путем. С достаточной для практики точностью рабочие характеристики двигателя могут быть определены расчетным путем (без круговой диаграммы), если известны параметры машины, найденные из ее расчета или по данным опытов холостого хода и короткого замыкания.
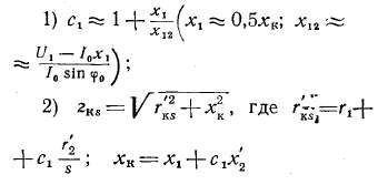
Необходимые расчетные формулы составляются при помощи схемы замещения, представленной на рис. 3-49, и соответствующей ей векторной диаграммы, изображенной на рис. 3-56. Напишем эти формулы в том порядке, в каком рекомендуется производить расчеты, причем в скобках укажем, как рассчитываются отдельные величины по опытным данным:
  Рис. 3-56. К расчетному определению рабочих характеристик двигателя.
 При расчете по приведенным формулам нужно задаваться значениями скольжения примерно в пределах s = = (0,2÷1,3)sн, где номинальное скольжение sн предварительно может быть взято из кривой рис. 3-57. Достаточно произвести расчеты для пяти-шести значений скольжения, выбирая их приблизительно через равные интервалы.
 Рис. 3-57. Приближенные кривые зависимости sн = f(Рн)
Содержание Главная (библиотека) Предыдущий § Следущий
|