|
Содержание Предыдущий § Следующий
Глава сороковая СИСТЕМЫ ВОЗБУЖДЕНИЯ СИНХРОННЫХ МАШИН
§ 40-1. Проблема регулирования возбуждения синхронных машин и требования к системам возбуждения
Системой возбуждения синхронной машины называется совокупность машин, аппаратов и устройств, предназначенных для питания ее обмотки возбуждения постоянным током if л регулирования величины этого тока.
К системам возбуждения предъявляются следующие основные требования: 1) высокая надежность в работе и 2) возможно большая простота и малая стоимость. Кроме того, необходимость регулирования напряжения и обеспечения устойчивой работы синхронных машин налагает на системы возбуждения ряд дополнительных требований.
Для поддержания постоянства напряжения U на зажимах генератора при изменении нагрузки необходимо регулировать if и соответственно щ в широких пределах. Согласно ГОСТ 533—68, минимальная устойчивая величина напряжения возбуждения щ ■турбогенератора должна быть не больше 0,2 UfH. В возбудителях в виде генераторов, дараллельного возбуждения это достигается <: помощью мостиков насыщения в магнитной цепи (см. § 9-4).
Проблема автоматического регулирования возбуждения.
Мощные синхронные генераторы, а во многих случаях и генераторы небольшой мощности снабжаются автоматическими регуляторами тока возбуждения, целью которых является: 1) поддержание постоянства напряжения U при изменениях нагрузки и 2) повышение статической и динамической устойчивости генератора. Вторая задача в особенности важна для~мощных генераторов, и при этом к системам и регуляторам возбуждения предъявляются повышенные требования.
При медленных изменениях U для поддержания U — Un— const достаточно осуществлять так называемое-п ропорциональное регулирование, когда регулятор возбуждения или напряжения реагирует на изменение U, т. е. на величину AU = U — Un, и в зависимости от величины и знака AU оказывает воздействие на орган, изменяющий соответствующим образом величину if. Например, для маломощных генераторов применяются угольные регуляторы напряжения, которые состоят из столбика угольных или графитовых дисков, пружины, сжимающей этот столбик, и электромагнита. Угольный столбик заменяет реостат возбуждения 6 в схемах рис. 34-1, а катушка электромагнита
присоединяется к зажимам генератора. При увеличении U электромагнит ослабляет давление пружины, сила сжатия столбика уменьшается, его сопротивление в результате этого увеличивается и if уменьшается. При уменьшении U действие происходит в обратном порядке
Однакоч при быстрых изменениях U, как это имеет место при переходных процессах, и для увеличения устойчивости такое регулирование малоэффективно вследствие механической инерции подобного регулятора, имеющего подвижные части, и электромагнитной инерции цепи возбуждения, обладающей большой индуктивностью. Вследствие такой инерции if будет изменяться с запаздыванием и не будет успевать за изменением U, вследствие чего выдержать условие 11 = = const с необходимой точностью невозможно. Во избежание этого для мощных генераторов, во-первых, применяют статические электромагнитные регуляторы, состоящие из элементов (электронные усилители и пр.), которые не имеют подвижных частей Во-вторых, для преодоления влияния электромагнитной инерции цепи возбуждения необходимо, чтобы действие регулятора было пропорционально не только U, но также скорости изменения U, т. е. dU/dt. Если, например, напряжение U начало резко и быстро падать и поэтому абсолютное значение dU/dt велико, то'регулятор немедленно, когда At/ еще не успело достичь заметной величины, дает сильный импульс на увеличение if. Желательно также, чтобы pefy-лятор возбуждения реагировал на производные других величин, характеризующих режим работы синхронного генератора. Например, как следует из изложенного в § 39-3, для повышения динамической устойчивости желательно, чтобы if было тем больше, чем быстрее растет угол нагрузки в, т. е. чем больше b' — dQ/dt, и наоборот. Так как измерение величины 6 затруднительно, то вместо 8' можно также регулировать по величине производную тока статора /, так как изменения 6 и / при качаниях происходят подобным образом (см. рис. 39-3). Желательно также регулировать if пропорционально вторым производным некоторых величин.
I Регуляторы, которые реагируют не только на величины отклонения определенных параметров, но и на величины их производных во времени, называются регуляторами сильного действия.
Такие регуляторы для синхронных генераторов были впервые разработаны в СССР для Волжской ГЭС им. В. И. Ленина и зарекомендовали себя наилучшим образом.
Следует отметить, что для эффективного действия таких регуляторов необходимо, чтобы электромагнитная инерция системы возбуждения была достаточно мала.
Автоматическими регуляторами возбуждения целесообразно снабжать также синхронные двигатели. Действие их при понижениях напряжения способствует поддержанию постоянства напряжения сети и повышает устойчивость работы двигателей.
Верхний предел (потолок) напряжения возбуждения. При коротких замыканиях в сети напряжение на зажимах генераторов U ревко падает, развиваемая ими мощность поэтому также резко снижается, и так как мощности турбин остаются неизменными, возникает опасность выпадения генераторов из синхронизма.
В этих случаях для поддержания U на возможно более высоком уровне и предотвращения выпадения генераторов из синхронизма применяется так называемая форсировка возбуждения, т. е. напряжение возбуждения Uf по возможности быстро поднимается до максимально возможного значения Ufm.
В схемах возбуждения вида рис. 34-1 это достигается тем, что специальное реле, реагирующее на резкое уменьшение напряжения, своими контактами шунтирует реостат возбуждения 5.
Чтобы форсировка возбуждения была эффективной, верхний предел (потолок) напряжения возбуждения щт должен быть достаточно большим. Согласно ГОСТ 533—68 и ГОСТ 5616—63, требуется, чтобы у турбогенераторов
Скорость нарастания напряжения возбуждения. При форсировке возбуждения напряжение щ должно возрастать по возможности быстро. Согласно ГОСТ 533—68 и ГОСТ 5616—63, для турбогенераторов скорость нарастания напряжения возбуждения при его форсировке должна быть не менее 2Ufa в секунду, а для гидрогенераторов — не менее 1,5 «ун в секунду.
§ 40-2. Системы возбуждения
Системы возбуждения с генераторами постоянного тока. Классическая система возбуждения синхронных машин, широко используемая и в настоящее время, состоит из возбудителя в виде генератора параллельного возбуждения на общем валу с синхронной машиной (см. рис. 34-1). У тихоходных машин мощностью до Ра яй 5000 кет для уменьшения веса и стоимости возбудителей последние иногда соединяют с валом синхронной машины с помощью клиноременной передачи.
Гидрогенераторы также обычно имеют возбудитель на одном валу с генератором. Однако при этом у мощных тихоходных генераторов с ин = 60 -J- 150 об/мин размеры и стоимость возбудителя в связи со значительной его мощностью и тихо-ходностью получаются большими. Кроме того, тихоходные возбудители вследствие своих больших размеров обладают большой электромагнитной инерцией, что снижает эффективность автоматического регулирования и форсировки возбуждения. Поэтому применяют также системы возбуждения в виде отдельного быстроходного агрегата (п = 750 -т- 1500 об/мин), состоящего из асинхронного двигателя и генератора постоянного тока. Асинхронный двигатель при этом получает питание от специального вспомогательного синхронного генератора, расположенного на одном валу с главным гидрогенератором, а в некоторых случаях — с шин собственных нужд гидростанции или с выводов главного гидрогенератора. В последнем случае возбудительный агрегат подвержен влиянию аварий в энергосистеме (короткие замыкания и пр.), и поэтому для повышения его надежности приводные асинхронные двигатели выполняют с повышенным максимальным моментом (Мт :> 4 Мн), а иногда эти агрегаты снабжают также маховиками. В виде отдельных возбудительных агрегатов выполняются также агрегаты резервного возбуждения электростанций, служащие для резервирования собственных возбудителей- генераторов в случае аварий и неисправностей.
Турбогенераторы мрщностью до Ри = 100 тыс. кет также обычно имеют возбудители в виде генераторов постоянного тока на своем валу. Однако при Рн > > 100 тыс. кет мощность возбудителей становится настолько большой, что их выполнение при пп = 3000 -т- 3600 об/мин по условиям коммутационной надежности становится затруднительным или даже невозможным. При этом применяются разные решения. Например, за границей широко используются возбудители со скоростью вращения ин = 750 -г- 1000 об/мин, соединяемые с валом турбогенератора с помощью редуктора, а также возбудительные агрегаты с асинхронными двигателями, получающими питание с шин станции или с выводов генератора.
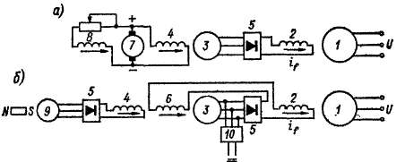
Применяются также некоторые разновидности систем возбуждения с машинами постоянного тока. Например, мощные возбудители крупных машин иногда имеют подвозбудители (рис 40-1), которые служат для возбуждения возбудителя.
Регулирование системы возбуждения при этом производится в цепи возбуждения подвозбудителя, в которой протекает малый ток Этим достигается снижение мощности и веса аппаратуры управления и регулирования
Компаундированная система возбуждения с возбудителем постоянного *ока (рис 40-2) В современных системах возбуждения широко применяется принцип компаундирования, т е автоматическое изменение н с возбуждения при изменении тока нагрузки синхронного генератора, подобно тому как это происходит в генераторах постоянного тока со смешанным возбуждением при согласном включении последовательной обмотки возбуждения (см § 9-6) Так как в обмотке якоря синхронной машины протекает переменный ток, а в обмотке возбуж дения 2 — постоянный ток, то ъ схемах компаундирования синхронных машин применяются полупроводниковые выпрямители В приведенной на рис 40-2 принципиальной схеме компаундированной системы возбуждения с возбудителем постоянного тока обмотка возбуждения возбудителя 4 подключена.к якорю возбудителя 3 с реостатом 6 и, кроме того, к выпрямителям 9, получающим питание от последовательных трансформаторов 7.
 Рис 40 1 Система возбуждения с возбудителем и подвозбудителем постоянного тока
/ — якорь синхронного генератора, 2 — обмотка возбуждения синхронного генератора, 3 — якорь возбудителя, 4 — обмотка возбуждения возбуди теля, 5 — якорь подвозбудителя, 6 — обмотка возбуждения подвозбудителя
 Рис 40-2 Система возбуждения с токовым компаундированием
На холостом ходу генератора обмотка 4 получает питание только от якоря 3 По мере увеличения тока нагрузки генератора / напряжение вторичной обмотки трансформатора 7 будет расти, и уже при небольшой нагрузке это напряжение, выпрямленное выпрямителем 9, сравняется с напряжением обмотки 4 При даль» нейщем увеличении нагрузки обмотка 4 будет подпитываться от трансформатора 7 и поэтому ток этой обмотки и ток возбуждения генератора ц будут расти с уве-* личением нагрузки
При увеличении сопротивления установочного реостата S напряжение, подаваемое на выпрямители 9, и компаундирующее действие трансформатора 7 будут расти При коротких замыканиях компаундирующее устройство осуществляет форсировку возбуждения,
Компаундирующее действие схемы рис. 40-2 зависит только от величины тока / и не зависит от его фазы. Поэтому при индуктивной нагрузке это действие слабее, чем при активной нагрузке. Такое компаундирование называется токовым, и при этом постоянство напряжения U в пределах диапазона нормальных нагрузок удается сохранять с точностью до ± (5—10)%. Такая точность для современных установок недостаточна, и поэтому в схемах рис. 40-2 применяется дополнительный корректор или автоматический регулятор напряжения 11, который соединен с помощью трансформатора 10 с зажимами генератора, а также с установочным реостатом 8. Регулятор // реагирует на изменения напряжения U и тока / и питает постоянным током дополнительную обмотку возбуждения возбудителя 5. Он состоит из статических элементов (магнитный усилитель, насыщенный трансформатор, полупроводниковые выпрямители и др.), и подробности его устройства здесь не рассматриваются.
Подобная система возбуждения широко применяется в СССР для генераторов мощностью до 100 тыс. кет.
Рис. 40-3. Система возбуждения с возбудителями переменного тока и выпрямителями
Система возбуждения с генераторами переменного тока и выпрямителями.
Как указывалось выше, для мощных гндро- и турбогенераторов системы возбуждения с возбудителями постоянного тока, находящимися на одном валу с генераторами, становятся неэкономичными и даже невыполнимыми. В этих случаях применяются системы возбуждения с генераторами переменного тока и управляемыми или неуправляемыми выпрямителями (рис. 40-3).
Схема рис. 40-3, а положена в основу системы возбуждения гидрогенераторов волжских, Братской и Красноярской ГЭС, причем вспомогательный синхронный генератор «юрмальной частоты 3 и возбудитель 7 расположены на одном валу с главным генератором /, а ионный выпрямитель 5 с одноаноднымн вентилями имеет сеточное управление от регулятора возбуждения сильного действия (на рис. 40-3, а не показан). Гашение поля осуществляется переводом выпрямителя 5 в инверторный режим для передачи мощности от обмотки возбуждения главного генератора 2 к вспомогательному генератору 3.
Схема рис. 40-3, б применяется заводом «Электросила» для турбогенераторов мощностью 150 тыс. кет и выше. В этой схеме обмотка возбуждения 2 главного генератора / получает возбуждение от индукторного генератора (возбудителя) 3 частотой 500 гц через кремниевые выпрямители 5. Генератор 3 имеет две обмотки возбуждения: обмотку независимого возбуждения 4, получающую питание от вспомогательного генератора (подвозбудителя) 9 через выпрямители 5, и обмотку последовательного самовозбуждения 6. Генератор 9 имеет» полюсы в виде постоянных магнитов. Генераторы 3 и 9 расположены на одном валу с главным генератором /. Индукторный генератор не имеет обмоток на роторе и поэтому очень надежен в работе. Параллельно к обмотке его якоря присоеди-
нена трехфазная индуктивная катушка (дроссель) 10, подмагничиваемая постоянным током. Катушка 10 потребляет от генератора 3 индуктивный ток, и так как при f = 500 гц индуктивное сопротивление обмотки якоря генератора велико, то напряжение на ее зажимах сильно зависит от тока катушки 10 Путем регулирования тока подмагничивания катушки 10 достигается быстрое регулирование напряжения генератора 3 и тока возбуждения if Обмотка возбуждения 6 способствует форсировке возбуждения при коротких замыканиях за счет действия апериодического переходного тока в обмотке возбуждения 2.
Наиболее мощные современные турбогенераторы имеют ifB = 5000 -5- 10000 а, и при этом даже работа контактных колец со щетками становится затруднительной. Поэтому в настоящее время строятся также генераторы с бесконтактными системами возбуждения Такую систему можно выполнить, например, на основе схемы рис. 40-3, а, если обмотку якоря 3 генератора переменного тока поместить
Рис. 40-4. Система самовозбуждения с фазовым компаундированием
на его роторе, укрепленном на валу главного генератора 1, а обмотку возбуждения 4 поместить на статоре. Полупроводниковые выпрямители 5 при этом укрепляются на диске, который также укреплен на валу генератора / и вращается вместе с его ротором и обмоткой возбуждения 2. Задача регулирования тока if в этом случае возлагается на подвозбудитель 7—8, который также можно выполнить в виде бесконтактного генератора переменного тока. Подобные системы возбуждения весьма перспективны, но имеют тот недостаток, что гашение поля можно осуществить только в цепи обмотки 4 и в этом случае поле главного генератора гасится относительно медленно.
Компаундированные генераторы с самовозбуждением. Выше рассматривались независимые системы возбуждения, в которых вся энергия или ее часть для возбуждения синхронного генератора получалась от возбудителей в виде машин постоянного или переменного тока. Наряду с ними применяются также системы самовозбуждения, в которых эта энергия получается из цепи якоря самого .генератора. Особенно широко такие системы возбуждения применяются для генераторов малой и средней мощности, работающих в автономных системах (лесоразработки, транспортные установки и т. д). В последние годы системы самовозбуждения все чаще начинают применять также для крупных генераторов, работающих в мощных энергосистемах, и для синхронных двигателей. При этом обычно используется также принцип компаундирования.
Типичная схема компаундированного генератора с самовозбуждением изображена на рис. 40-4. Вторичная э. д. с. параллельного трансформатора 3 пропорциональна U, а вторичная э. д. с. последовательного трансформатора 5 пропорциональна /. Вторичные обмотки этих трансформаторов включены параллельно и

Ток возбуждения if ~ If зависит не только от величины тока нагрузки /, но и от его фазы, вследствие чего схема рис. 40-4 называется схемой фазового компаундирования. Это позволяет усиливать компаундирующее действие системы возбуждения при индуктивной нагрузке генератора, поскольку индуктивная
Рис. 40-5. Схемы замещения системы самовозбуждения с фазовым компаундированием
составляющая тока нагрузки генератора вызывает наибольшее падение напряжения.
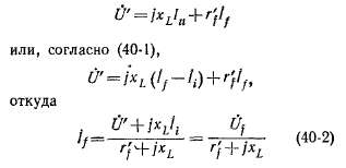
Предположим, что первичные обмотки трансформаторов 3 и 5 приведены к вторичным, сопротивления этих трансформаторов и выпрямителей 6 равны нулю и сопротивление обмотки возбуждения 2, приведенной к стороне переменного тока, равно ri. Тогда схеме рис. 40-4 соответствует схема замещения рис. 40-5, а, Е\ согласно которой
 Согласно (40-2), схему замещения можно представить также в виде рис. 40-5, б.
Пусть рассматриваемый генератор является неявнополюсным. Тогда его векторная диаграмма имеет вид, изображенный на рис. 40-6 сплошными линиями. Так как U' и /j пропорциональны U и / и совпадают с ними по фазе (или сдвинуты относительно них на 180°), то схеме рис. 40-5, б и равенству (40-2) соответствует векторная диаграмма, изображенная на рис. 40-6 штриховыми линиями. Из этого рисунка следует, что при соответствующем выборе коэффициентов трансформации трансформаторов 3 и 5 и сопротивления xL индуктивной катушки 4 векторные диаграммы рис. 40-6 будут подобны. Поэтому при U = const и при любой величине-и фазе / будет Uf -~ E и, согласно (40-2), If ~ E, т. е. при любой нагрузке ток возбуждения if будет индуктировать такую э. д. с. Е, что сохраняется U = const.
Рис. 40-6. Векторные диаграммы неявнополюсного синхронного генератора и его системы самовозбуждения с фазовым компаундированием

Из выражения (40-2) следует, что при xL = 0 компаундирование будет отсутствовать. В этом случае при увеличении // трансформатор 5 будет брать на себя нагрузку трансформатора 3 и ток If увеличиваться не будет.
трансформаторы 3 и 5 на рис. 40-4 можно объединить также в один общий трансформатор с двумя первичными обмотками и одной вторичной обмоткой, присоединенной к выпрямителю 6. Катушку 4 при этом необходимо перенести в первичную обмотку напряжения. Вместо этого можно также искусственно увеличить рассеяние этой обмотки, отделив ее от других обмоток трансформатора магнитным шунтом. При высоком напряжении трансформатор 5 целесообразно включить со стороны нейтрали обмотки якоря генератора. В генераторах малой, мощности иногда отказываются от трансформатора 3 и катушку 4 присоединяют непосредственно к зажимам генератора. Применяются также другие разновидности подобных систем возбуждения.
Вследствие насыщения и других причин как у неявнополюсных, так и явно-полюсных генераторов U = const в действительности поддерживается с точностью =Ь (2—5)%. для генераторов малой мощности такая точность достаточна, но дли генераторов большой мощности необходимо дополнительное регулирова* ние напряжения с помощью корректора или регулятора напряжения. Для этой целя катушку 4 можно выполнить с подмагничиванием постоянным током, -и в этом случае регулятор напряжения регулирует величину этого тока, чем достигается изменение xL и тока %. в необходимом направлении. Если выпрямители S являются управляемыми, то регулятор напряжения может действовать на эти выпрямители.
Самовозбуждение синхронного генератора по схеме рис. 40-4 происходо^ только при наличии потока остаточного намагничивания, как и в генераторах постоянного тока с параллельным возбуждением. Однако вследствие повышену «ого сопротивления выпрямителя при малых токах и других причин остаточный поток обычной величины индуктирует недостаточно большую э. д. с. для обеспечения самовозбуждения синхронного генератора и поэтому необходимо принимать» дополнительные меры (применение резонансных контуров, включение в цепь возбуждения небольшого аккумулятора или добавочного генератора с постоянными магнитами, увеличение остаточного потока посредством магнитных прокладок В полюсах генератора я пр.). Для получения резонансного контура параллельно зажимам выпрямителя 6 (рнс. 40-4) со стйроны переменного тока можно тюдклю* чить конденсатордл 7. Если емкости С подобрать так-гчто во время пуска генера* тора 'при я < п„ возникнет резонанс- напряжений, то напряжение на конденсат торах 7 и напряжение выпрямителя 6 повысятся в несколько раз и произойдем самовозбуждение. При п = пп условия резонанса нарушатся, и поэтому конден* саторы оказывают незначительное влияние на работу схемы. В схемах возбужде* ния вида рис. 404, как правило, применяются полупроводниковые выпрямители.; Благодаря своей простоте, надежности и хорошим регулирующим свойствам пФ> добные схемы возбуждения получают все более широкое применение. Для защиты от перенапряжений при асинхронном ходе и других необычных условиях выпря* мителн обычно шунтируются высокоомным и или нелинейными сопротивлениями.
Генераторы малой мощности с рассмотренной системой возбуждения допуч екают прямой пуск короткозамкнутых асинхронных двигателей, мощности которых соизмеримы с мощностью генераторов. При этом пусковой ток двигателя благодаря компаундированию осуществляют форсировку возбуждения генера*> тора и поэтому его напряжение сильно не снижается, несмотря на большие пусковые токи индуктивного характера»
Применяются и другие разновидности систем возбуждения. Характерным является вое более широкая замена систем с возбудителями ^постоянного. ток# системами с полупроводниковыми выпрямителями.
Содержание Предыдущий § Следующий
|