|
Содержание Предыдущий § Следующий
 4 Коммутация
Коммутацией называется процесс изменения тока в секциях обмотки якоря при переходе их из одной параллельной ветви в другую. В более широком смысле слова под коммутацией понимают явления и процессы, возникающие под щетками при работе коллекторных электрических машин. Если щетки искрят, то говорят, что машина имеет плохую коммутацию; если искрение отсутствует — хорошую.
Качество коммутации в значительной степени определяет надежность машины и стоимость ее эксплуатации. Замена щеток, проточка коллекторов и т. п. стоит очень дорого и в некоторых машинах (тяговых электродвигателях, машинах шагающих экскаваторов и т. д.) может составить в год до 20...30% их стоимости. Еще больший ущерб может быть причинен остановкой машины на ремонт и прекращением производства продукции.
Поэтому обеспечение надежной коммутации для машин постоянного тока является острейшей необходимостью и часто решающим образом воздействует на технико-экономические показатели электропривода.
4.1. Общие положения теории коммутации
Искрение может вызываться многими причинами, которые обычно делятся на две группы: механические и электромагнитные.
Типичные механические причины — биение коллектора, его эллиптичность, шероховатость его рабочей поверхности, наличие выступающих коллекторных пластин и изоляционных прокладок, вибрация щеткодержателей и т. д. Все эти причины приводят к вибрации щеток, в связи с чем возможен кратковременный разрыв контакта между щеткой и коллектором и возникновение короткой электрической дуги. Особенно трудно обеспечить отсутствие вибрации
щеток при больших скоростях на поверхности коллектора — примерно 50 м/с и выше.
Электромагнитные причины приводят к тому, что даже в случае идеального состояния щеточного контакта при выходе коллекторной пластины из-под щетки происходит разрыв электрической цепи, по которой проходит ток, и возникает короткая электрическая дуга, повреждающая сбегающие края щеток и коллекторных пластин.
 Рис. 4.1. Распределение тока в параллельных ветвях (а) и изменение тока в секции (б)
Искрение, вызванное электромагнитными причинами, повреждая поверхность коллектора, приводит к вибрации щеток и способствует возникновению искрения по механическим причинам. Неустойчивость же щеточного контакта, обусловленная механическими причинами, существенно влияет на электромагнитные процессы, происходящие в коммутируемых секциях. Поэтому обычно искрение щеток на коллекторе является результатом совместного действия многих причин.
В каждом из проводников обмотки якоря ток меняет свое направление на обратное при переходе из одной параллельной ветви в другую (рис. 4.1, а). Большую часть времени ток секции равен току параллельной ветви: ia = /a/(2a). Изменение направления тока в секции происходит за период времени 7"к, в течение которого соединенные с секцией коллекторные пластины соприкасаются со щеткой (рис. 4.1,6). Время Тк, в течение которого секция оказывается замкнутой накоротко щеткой, называется периодом коммутации; секции, в которых изменяется ток, называются коммутируемыми.
Период коммутации
где Ьщ — ширина щетки; у„ол — скорость точки на поверхности коллектора.
В современных машинах 7"к = 0,001 ...0,0001 с, вследствие чего скорость изменения тока в секциях высока и может ин-
дуцироваться большая ЭДС само- и взаимоиндукции — реактивная ЭДС:
где Ьрез — результирующая индуктивность секции.
Реактивной ЭДС называется потому, что, согласно правилу Ленца, препятствует изменению тока — замедляет его изменение. Поэтому за период коммутации ток не всегда успевает сравняться с током параллельной ветви и при выходе коллекторной пластины из-под щетки разрывается ток и возникает искрение.
Кроме реактивной ЭДС в коммутируемой секции индуцируется также ЭДС вращения ек, создаваемая внешним магнитным полем — коммутирующая ЭДС:
где Вк — индукция в воздушном зазоре в зонах, где перемещаются коммутируемые секции.
Индукция Вк может создаваться МДС главных полюсов и реакции якоря, а также МДС добавочных полюсов, которые устанавливаются в машинах постоянного тока для улучшения процесса коммутации.
Таким образом, основной причиной, вызывающей искрение, является наличие реактивной ЭДС; создание коммутирующей ЭДС может значительно компенсировать влияние реактивной ЭДС, но все же чем больше ер, тем более вероятно возникновение искрения.
Рассмотрим более подробно условия возникновения реактивной ЭДС, остановившись на определении средней скорости изменения тока в коммутируемых секциях и результирующей индуктивности. Средняя скорость изменения тока в коммутируемой секции за период коммутации
   Таким образом, увеличивая ширину щетки и тем самым увеличивая период коммутации Тк, можно уменьшить скорость изменения тока в секции. Однако если при этом щетка перекрывает несколько коллекторных пластин, то коммутация происходит одновременно в нескольких секциях и следует учитывать взаимоиндукцию, т. е. увеличение ширины щетки может привести к незначительному уменьшению реактивной ЭДС из-за одновременного уменьшения (di/dt)Cp и увеличения Lpe3.
В связи с этим представляет интерес определение средней скорости изменения тока во всех коммутируемых секциях. За время, соответствующее повороту якоря на одно полюсное деление (рис. 4.2, а),
происходит изменение направления тока во всех секциях обмотки якоря, т. е. суммарное приращение тока в секциях (без учета знака):
где S = N/(2wc)—число секций обмотки якоря.
Следовательно, средняя скорость изменения тока во всех секциях обмотки якоря
Так как изменение тока в секциях происходит только в период коммутации, соответствующий перемещению якоря по дуге Ьк в зоне коммутации, выражение (4.8) определяет среднюю скорость изменения тока во всех коммутируемых секциях машины. При анализе коммутации обычно рассматриваются секции, коммутируемые одной щеткой. При этом условии
 Рис. 4.2. Схематическое расположение коммутационной зоны (а) и потоки коммутируемых секций (б)
Таким образом, средняя скорость изменения тока во всех коммутируемых секциях не зависит от ширины щетки и определяется только током машины и ее скоростью.
Это фундаментальное положение, выдвинутое Л. Дрейфусом *, является основой, на которой строится вся теория коммутации.
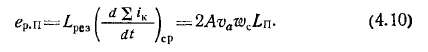
Широкое распространение получила формула Пихельмайера для вычисления реактивной ЭДС, в которой вообще не учитывается ширина щетки:
* См.: Дрейфус Л. Коммутация больших электрических машин. Стокгольм, 1929; его же. Коммутация больших электрических машин. Стокгольм. 1954.
  
Формула (4.10) имеет простую структуру и используется для оценки напряженности коммутации машины; важно, что из (4.10) следует невозможность существенного улучшения коммутации путем увеличения ширины щетки.
Анализ коэффициента Lpe3 проведем, используя выражение
где Фь Ф2, Фз — — потоки, создаваемые коммутируемыми секциями и сцепленные с рассматриваемой секцией.
Из потоков, сцепленных с коммутируемыми секциями (см. рис. 4.2, б), можно выделить:
поток взаимоиндукции, замыкающийся через главные полюсы Фмь
поток взаимоиндукции, замыкающийся по воздуху и через сердечник дополнительного полюса Фмг!
поток рассеяния Фь охватывающий коммутируемую секцию и ближайшие к ней (лежащие в одном пазу при зубчатом якоре).
Этим потокам соответствуют магнитные проводимости Ami, Лмг и At.
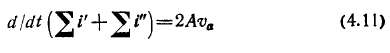
Поток взаимоиндукции Фм1 сцеплен с полным током всех коммутируемых секций данной зоны коммутации и током некоммутируемых секций. Если щетки установлены на нейтрали, полный ток некоммутируемых секций равен нулю. Полный ток коммутируемых секций, как это видно из рис. 4.2, также равен или близок к нулю. Но, согласно (4.9), ток во всех коммутируемых секциях изменяется с постоянной скоростью. Кажущееся несоответствие объясняется тем, что при вращении якоря из зоны коммутации уходят секции, в которых изменение тока завершено, а входят новые секции, в которых ток начинает изменяться после того, как секция замыкается щеткой накоротко. За малый промежуток времени At точка на поверхности якоря перемещается на длину дуги Ax=uaAf, и в зону коммутации входят секции, имеющие полный ток^?/'= АЬ.х=
=Avakt, и выходят секции, имеющие тот же ток, но направленный в другую сторону (рис. 4.2, б):
Изменение полного тока в зоне коммутации за время Д^ из-за вращения якоря
Скорость изменения полного тока
  
равна средней скорости изменения полного тока в коммутируемых секциях
 Другими словами, во всех секциях, которые при вращении якоря попадают в зону коммутации, должно произойти изменение направления тока к моменту выхода из зоны коммутации.
При идеализированном гладком якоре с узкими коллекторными пластинами мгновенная скорость изменения тока равна средней. В реальном гладком якоре мгновенное значение может отличаться от среднего, однако период усреднения мал — он соответствует повороту якоря на одно коллекторное деление.
При зубчатом якоре период усреднения равен времени поворота якоря на одно зубцовое деление — после поворота на одно зубцо-вое деление процесс должен полностью повториться, а ни одно зубцовое деление не имеет каких-либо отличий от других (технологическими погрешностями пренебрегаем и рассматриваем стационарный режим). Следовательно, при реальном якоре могут быть различными мгновенная и средняя скорости изменения полного тока в зоне коммутации, и тогда составляющая реактивной ЭДС в коммутируемой секции от изменения потока ФМ1
 т. е. эта составляющая обусловлена магнитной проводимостью паза и зависит от скорости изменения тока в самой секции и в секциях данного паза, коммутируемых одновременно с ней. Следовательно,
и две первые составляющие появляются только, если скорость изменения полного тока в зоне коммутации отличается от среднего значения. Л. Дрейфус высказал предположение о том, что, поскольку Лм 1 и Лм2 очень велики, в реально существующих машинах мгновенная скорость изменения полного тока в зоне коммутации практически равна средней и поэтому
Это явление Л. Дрейфус назвал «среднепрямолинейной» коммутацией. Тонкие экспериментальные исследования подтвердили правильность гипотезы — в реальных режимах коммутация является «среднепрямолинейной».
Косвенным, но не менее важным подтверждением постоянства скорости изменения тока во всех коммутируемых секциях является то, что при расчете реактивной ЭДС почти все (за редким исключением) пренебрегают проводимостью главных полюсов и проводимостью потока Фм2, т. е. считают epmeL, а результаты расчетов хорошо согласуются с практикой.
Содержание Предыдущий § Следующий
|