|
Содержание Предыдущий § Следующий
2.2. Магнитное напряженке воздушного зазора
Магнитное напряжение воздушного зазора —главная составляющая МДС обмотки возбуждения; оно составляет в машинах с большими насыщением магнитопровода 60...80%, в малонасыщен-
ных машинах —почти 100% МДС. Поэтому магнитный расчет воздушного зазора должен производиться особенно тщательно.
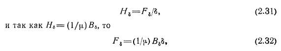
На рис. 2.5 показана картина поля в воздушном зазоре и межполюсном промежутке четырехполюсной машины с гладким якорем. Магнитное поле создается обмоткой возбуждения, расположенной на полюсе статора. Поскольку магнитная проницаемость стали во много раз больше магнитной проницаемости воздуха, поверхности полюса и якоря можно принять за поверхности уровня: поверхности полюса приписываем полный потенциал, /7в=100 ед.; поверхности якоря — нулевой потенциал. Магнитные линии в воздушном зазоре должны быть перпендикулярными поверхностям полюса и якоря, так как это поверхности уровня. Магнитные линии направлены по кратчайшему расстоянию от сердечника полюса к якорю, а магнитные трубки имеют неизменную ширину. Поэтому индукция, как и напряженность поля, по длине трубки не меняется. Следовательно,
 Рис. 2.5. Картина поля в воздушном зазоре и в межполюсном пространстве
где б — зазор между ротором и статором.
При равномерном (неизменном) зазоре между якорем и сердечником полюса неизменна и индукция в воздушном зазоре
5, = l*/V8. (2.33)
Только у края полюса сказывается краевой эффект: часть магнитного потока замыкается в якорь вне полюса. В этих местах магнитные трубки имеют переменное сечение. Индукция на поверхности якоря вне полюса
где Вб — индукция под полюсом, где трубка имеет постоянную ширину Ь; Ьх — ширина рассматриваемой трубки на поверхности якоря.
Сравниваемые магнитные трубки должны иметь одинаковое количество последовательно соединенных звеньев п—пх. Если это равенство не выполняется, то не равны потоки трубок и индукцию

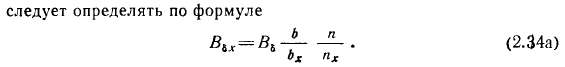
 Кривая распределения индукции на поверхности якоря в мЗши-не с равномерным воздушным зазором показана на рис. 2.6.
Магнитный поток, замыкающийся через якорь, обычно выоа-жается одной из формул
где bi, I, и ш — теоретически рассчитанные значения полюсной дуги, осевой длины якоря и коэффициента полюсного перекрытия соответ-"" ственно.
Теоретическая полюсная дуга определяется в предположении, что распределение индукции на поверхности якоря прямоугольное (пунктир на рис. 2.6), т. е. подсчитывается площадь, ограниченная действительной кривой распределения индукции, и делится на ординату, соответствующую Вь — индукции под полюсом.
Для точного определения Ьг надо
Рис. 2.6. Распределение магнитной индукции в воздушном зазоре (поперечный разрез)
построить картину поля. При прикидочных расчетах
где b — конструктивная полюсная дуга; бКр — воздушный зазор под краем полюса.
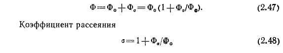
Теоретическая осевая длина якоря также определяется по картине поля для продольного разреза машины (рис. 2.7).
При равной длине стали якоря 1а и полюсного наконечника /м
где б — зазор под серединой полюса; пкан — число радиальных вентиляционных каналов; Ькли — ширина вентиляционных каналов.
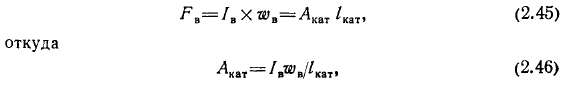
Наличие зубцов на якоре увеличивает магнитное сопротивление воздушного зазора. Картина магнитного поля в зазоре при зубчатом якоре показана на рис. 2.8.
Исследуя магнитное поле зубчатого якоря, Ф. Картер методом конформных преобразований получил аналитическое выражение для потенциала в зазоре. На основе его исследований предложены формулы, связывающие среднюю длину магнитной линии б< с кон-
  
Рис. 2.7. Распределение магнитной индукции в воздушном зазоре (продольный разрез)
Рис. 2.8. Магнитное поле в пазу якоря
где t{ — зубцовое деление; bz — ширина зубца на поверхности якоря.
Обычно Kt,— 1,05...1,2; он больше у машин с малым воздушным зазором. В этих машинах иногда делаются полузакрытые пазы (рис. 2.9, а )для уменьшения Кь и, следовательно, магнитного сопротивления воздушного зазора.
В машинах большой мощности пазы делаются открытыми (рис. 2.9,6); это позволяет упростить технологию изготовления обмотки якоря.
Кроме увеличения магнитного сопротивления воздушного зазора зубчатость якоря вызывает неравномерность индукции на поверхности полюсного наконечника. В местах, расположенных напротив зубцов, индукция больше, чем в местах напротив пазов. При вращении якоря происходит перемагничивание поверхности полюсного сердечника, вследствие чего в нем возникают поверхностные потери.
Амплитуда переменной составляющей индукции на поверхности полюса
 Рис. 2.9. Формы пазов якоря

 Для исключения пульсаций магнитного потока полюса его полюсную дугу Ь выбирают из условия некратности ее целому числу зубцовых делений, иначе при вращении якоря под полюсом число зубцов изменяется на один с частотой f2 — va/ti; с той же частотой пульсирует магнитное сопротивление воздушного зазора.
Если зубцовый слой имеется и на роторе и на статоре, то коэффициент Картера находится отдельно для ротора Кы, для статора Къ2, а затем определяются результирующий коэффициент и расчетное значение воздушного зазора:
Ag = AslA J2> (2.4Z)
___ 5. ТУ ___ лГ^ IS Ю Л О\
I—■ ОД. g — 0AglAg2" lZn4:O)
Особенно тщательно в этом случае следует выбирать числа пазов на статоре и роторе, избегая равенства зубцовых делений или их кратности.
Существенно уменьшить пульсации проводимости воздушного зазора можно путем скоса паза на одно зубцовое деление, когда начало и конец паза смещаются по образующей на зубцовое деление (рис. 2.10).
Часто воздушный зазор делают неравномерным, увеличивая его к краям для получения синусоидального распределения магнитной индукции (в синхронных машинах) или для уменьшения искажающего действия реакции якоря (см. гл. 3 ниже) в машинах постоянного тока. Кроме того, часто увеличивают зазор под краем полюса для более пологого спада магнитной индукции, что уменьшает дополнительные потери и снижает шумы.
Коэффициент полюсного перекрытия при синусоидальном распределении индукции в зазоре
^ _d id _9/тг-^^Г) 6Я7 ^2 44^
В машинах постоянного тока стремятся увеличить магнитный поток, для чего повышают коэффициент полюсного перекрытия до 0,67...0,7 (у крупных машин).
Дальнейшему росту а, мешает увеличение потока рассеяния, замыкающегося не через якорь, а через другие части машины.
Определение потока рассеяния производится из картины поля (см. рис. 2.5) в межполюсном пространстве. При построении картины поля обычно заменяют реальную катушку тонким токовым слоем на той поверхности, которая соприкасается с катушкой.
При этой замене МДС и полный ток катушки не должны изменяться:
Рис. 2.10. Схема выполнения скоса пазов
где лкат — линейная нагрузка фиктивного токового слоя; /в — ток возбуждения катушки; шв — число витков катушки возбуждения; 'кат — длина линии соприкосновения катушки с полюсом и ярмом в поперечном сечении.
Произведенная замена дает возможность рассматривать маг-никное поле в межполюсном пространстве как безвихревое и производить расчет магнитного поля так же, как это описывалось выше. Фактически этот прием позволяет от уравнения Пуассона перейти к бфлее простому уравнению Лапласа, что существенно упрощает расчет, а вносимая погрешность, как показали многочисленные измерения, сравнительно мала.
При построении картины поля сначала проводятся ориентировочно линии уровня, для каждой из которых известны две точки: в воздушном зазоре магнитный потенциал меняется пропорционально расстоянию от поверхности полюса, а потенциал на поверхности полюса зависит от того, какой токовый слой охватывается. Обычно делится пополам воздушный зазор; потенциал точки, находящейся посередине,— 0,5^; затем делится пополам /кат и определяется другая точка с таким же потенциалом 0,5 FB. Аналогично находятся точки с потенциалами 0,25 FB и 0,75 FB.
Линия симметрии, разделяющая соседние полюсы, имеет нулевой потенциал (это особенно важно учитывать при расчете машин без дополнительных полюсов).
Линии индукции проводятся, как указывалось выше, перпендикулярно линиям уровня; линии индукции, выходящие из токового слоя, не могут быть перпендикулярными сердечнику полюса, так как из-за наличия токового слоя его поверхность уже не может быть принята за эквипотенциальную.
Полный поток Ф, замыкающийся через полюс, имеет две составляющие: полезный поток Фо и поток рассеяния Ф„:
 определяется из картины поля; так как отношение Ф<,/Фо равно отношению числа трубок, замыкающихся помимо якоря, к числу трубок, замыкающихся через якорь, то обычно о= 1,05...1,2. Таким образом,
 значение а почти не меняется при изменении тока возбуждения и магнитного потока.
Содержание Предыдущий § Следующий
|