|
Содержание Предыдущий § Следующий
8-10. ИСПЫТАНИЕ НА НАГРЕВАНИЕ
Описанные выше способы испытания в режиме холостого хода и короткого замыкания, требующие лишь части полной (номинальной) мощности для питания испытуемой машины, являются в большинстве случаев ремонта вполне достаточными, а для крупных машин единственно возможными.
Если, однако, в процессе ремонта или модернизации изменено сечение меди обмоток, число оборотов в минуту, условия вентиляции и т. д., то весьма желательна проверка нагрева машины.
Для этой цели должно быть проведено испытание машины под нагрузкой, требующее источник энергии достаточной мощности и такое оборудование испытательной станции, как нагрузочный генератор при испытании двигателей, приводной двигатель — при испытании генераторов, нагрузочные реостаты и установка, допускающая соединение испытуемой машины с приводным двигателем или нагрузочным генератором.
1 Имеются в виду нереверсивные машины, т. е. вращающиеся только в одну сторону.
Наиболее целесообразна установка машины на глад-костроганой плите с пазами, служащими для крепления. Целью испытания на нагревание является, как указано выше, определение температуры нагрева обмоток машины при расчетной нагрузке Потери в активной стали и меди обмоток вызывают их нагревание Развивающееся тепло должно быть отдано охлаждающему машину воздуху. Для того чтобы такая отдача тепла могла иметь место, необходимо, чтобы температура обмоток и стали была выше температуры окружающего воздуха, т. е. необходимо превышение температуры (перегрев) этих обмоток над охлаждающим машину воздухом (или в общем случае над температурой охлаждающей среды).
Потери в машине зависят от ее нагрузки (тока в обмотках и напряжения на зажимах), поэтому превышение температуры обмоток зависит от нагрузки машины, увеличиваясь с увеличением нагрузки, и является характерной величиной, ограничивающей мощность машины.
Температура обмотки является суммой превышения ее температуры и температуры окружающего воздуха. С точки зрения продолжительности жизни изоляции важна именно температура обмотки, поэтому с увеличением температуры окружающего воздуха допустимое превышение температуры снижается таким образом, чтобы температура обмотки оставалась постоянной.
Допустимая величина превышения температуры обмоток для различных классов изоляции при определенных температурах окружающего воздуха устанавливается ГОСТ 183-55, табл. 2-1 (там самым устанавливается наибольшая температура обмоток). Таким образом, основной целью испытания на нагревание является определение превышения температуры обмоток.
Существует ряд методов измерения превышения температуры обмоток и деталей электрических машин над температурой охлаждающей среды (ГОСТ 183-55).
В условиях ремонтной практики следует рекомендовать в основном метод сопротивления и метод термометра. Лишь в отдельных случаях, например, крупных машин, ответственных труднодоступных обмоток следует прибегнуть к термопарам или термометрам сопротивления, заложенным в испытуемую обмотку.
Метоц сопротивления применим ко всем обмоткам, за исключением обмоток с весьма низким сопротивлением,
измерение которого представляет известные трудности. Этот метод основывается на свойстве меди увеличивать свое сопротивление с увеличением температуры.
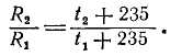
Опытным путем установлена следующая зависимость между температурой меди и ее сопротивлением. Если при температуре U [°С] сопротивление равно величине R\[om], то при температуре t2 сопротивление будет иметь величину R2, причем отношение этих сопротивлений
 Для алюминия действительна та же зависимость, но вместо 235 следует подставлять 245.
Превышение температуры t2 над t\ — А^ для меди можно определить по следующей формуле
 Считая, что t\ и Ri соответствуют холодной обмотке до начала испытания на нагревание, примем для этих величин обозначения tx и Rx, а для величины t2 и R%, считая, что эти величины соответствуют горячей (нагретой) обмотке tT и RT, получаем.
 В формулу необходимо ввести поправку, так как практический интерес представляет превышение температуры At0 над температурой охлаждающего воздуха t0, а не над температурой холодной обмотки tx- Эти две температуры могут не совпадать в силу того, что измерение холодного сопротивления может производиться не в тот день, когда проводится тепловое испытание, температура охлаждающего воздуха может изменяться во время испытания и т. д.
Поэтому формула примет вид-
 Вторым способом контроля температур, который может быть рекомендован в практике ремонта, является способ измерения температуры спиртовыми
термометрами (ртутные не допускаются). Температуру обмоток (за исключением низкоомных) следует стараться измерять методом сопротивления. Температуру подшипников, корпусов, окружающего воздуха, воздуха, входящего и выходящего из машины, коллекторов, колец, неизолированных обмоток низкого напряжения и т д следует измерять термометрами или термопарами.
Если нет возможности применить способ сопротивления, а лобовые части неподвижных обмоток и активная сталь доступны, то при известном опыте можно ограничиться измерением температуры поверхности доступной части обмоток и активной стали. Следует иметь в виду, что измеренная термометром температура поверхности обмотки будет на 15—20° С ниже, чем средняя температура меди, измеренная способом сопротивления.
Для того чтобы избежать значительных ошибок при измерении температуры термометром, следует обеспечить плотное соприкосновение головки термометра и детали машины, температура которой нас интересует. Для этой цели головку термометра следует обернуть фольгой. Кро-ме того, головка термометра должна быть сверху закрыта теплоизолирующим материалом (ватой и т. п), предохраняющим ее от охлаждения струей вентилирующего машину воздуха. Для измерения температуры окружающего воздуха головку термометра следует опустить в металлический стаканчик, наполненный маслом.
При испытании закрытых машин температуру охлаждающего воздуха измеряют двумя-тремя термометрами, установленными на высоте, равной половине высоты машины на расстоянии 1—2 м от нее. Термометры должны быть защищены от облучения теплом и от воздействия потоков воздуха.
За температуру охлаждающего воздуха принимается средняя температура (измеренная термометрами за последний час испытания), измерения обычно берутся через 20—30 мин.
Для машин, охлаждаемых посредством протяжной вентиляции, за температуру охлаждающего воздуха принимается температура воздуха в месте входа в машину. Вблизи этого места и должен быть установлен термометр.
Испытание машин, предназначенных для длительного режима работы, ведут до тех пор, пока превышения тем-
ператур всех частей машины не установятся. О достижении такого состояния можно судить по неизменности разности между показаниями термометра на корпусе и термометра, измеряющего температуру охлаждающего воздуха То же относится к превышению температуры выходящего воздуха. Превышение температуры считается установившемся, если оно изменяется не более чем на 1° за 1 ч.
По достижении установившегося теплового состояния должны быть измерены температуры всех обмоток и деталей, измерения температуры и сопротивления которых возможны без остановки машины, к числу которых относятся обмотки возбуждения и добавочных полюсов машин постоянного тока.
Измерения температур всех остальных обмоток и деталей должны быгь сделаны немедленно после остановки машины, причем должны быть приняты меры для быстрой остановки последней, например усиление возбуждения и закорачивание нагрузочного генератора при остановке испытуемых двигателей и механическое двустороннее торможение шкивов (чтобы не погнуть вал и не повредить подшипники).
Если вентиляция принудительная, it. e от постороннего вентилятора, то она должна быть выключена одновременно с выключением тока. Для того чтобы результаты измерений не требовали поправок, необходимо при измерении способом сопротивления взять первый отсчет не позже чем через 1—2 мин после выключения нагрузки и затем в течение 10 мин еще три-четыре отсчета.
При измерении сопротивления якоря машины постоянного тока следует поднять все щетки с коллектора и поставить щупы на отмеченные легко доступные пластины, на которых производилось измерение холодного сопротивления. Якорь следует затормозить, чтобы предупредить соскакивание щупов.
Измерение сопротивления статора асинхронного двигателя должно быть сделано после остановки двигателя теми же приборами и тем же способом, каким производилось измерение холодного сопротивления
В течение около 15 мин следует наблюдать за термометрами, заложенными на коллекторе, кольцах, стали якоря и подобных деталях, ставших доступными лишь после остановки машины, и записать наибольшую темпе-
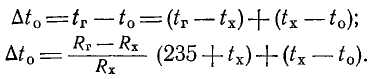
 Рис 8-2 Схема индукционного регулятора.
ратуру и время (считая от момента выключения тока), когда она отмечена.
Для получения наиболее точных результатов в тех случаях, когда превышения температур близки к допустимым, стоят кривые остывания, т. е. зависимость сопротивления или температуры от времени, протекшего с момента выключения нагрузки (тока).
Продолжая эту кривую на начало отсчета времени, получают температуру (сопротивление) обмотки в момент выключения нагрузки.
Для проведения испытаний двигателей переменного тока необходим индукционный регулятор, который может быть переделан из асинхронного двигателя с фазным ротором. Желательно для этой цели подобрать такой двигатель, у которого напряжение ротора близко к напряжению сети.
В этом случае можно получить регулирование напряжения почти от нуля до двойного напряжения сети
Схема индукционного регулятора приведена на рис. 8-2 Если обмотка ротора имеет напряжение на кольцах, равное напряжению сети (или несколько выше), что определяется в опыте трансформации при номинальном напряжении на статоре, то в схеме рис 8-3 обмотка 1 является обмоткой ротора. Если же напряжение обмотки ротора ниже напряжения сети, то в качестве обмотки 1 (намагничивающей) следует применить обмотку статора, соединенную в звезду или треугольник в зависимости от напряжения сети, а в качестве обмотки 2 (проходной) — обмотку ротора, у которой разрезана нулевая точка (звезда) и выведены шесть концов. На конец вала ротора индукционного регулятора надевается червячное колесо, которое можно поворачивать червяком Поворотом ротора и осуществляется регулировка напряжения в пределах от £/Сети—U2 до Uce-rn+Uz, где U2 — линейное напряжение на обмотке 2
Следует иметь в виду, что, поскольку асинхронный двигатель, использованный как индукционный регулятор, не вращается и не вентилируется, допустимый ток его обмоток будет в 2—2,5 раза ниже номинального тока обмоток асинхронного двигателя, из которого он сделан
Для повышения мощности можно применить обдув от постороннего вентилятора
Содержание Предыдущий § Следующий
|