|
Содержание Главная (библиотека) Предыдущий § Следущий
§ 4.4. АСИНХРОННАЯ МАШИНА ПРИ НЕПОДВИЖНОМ РОТОРЕ
Коэффициенты трансформации э. д. с. и токов. Вращающаяся м. д. с. обмотки статора создает вращающийся поток Ф взаимоиндукции, который пронизывает обмотки статора и ротора (см. рис. 4.2). Этот поток наводит в них э. д. с, которые согласно (4.10) имеют следующие выражения:
 Коэффициент трансформации может быть определен опытным путем при неподвижном двигателе с разомкнутой обмоткой ротора.
Такой опытный режим называют режимом холостого хода асинхронной машины при неподвижном роторе.
Если обмотка ротора замкнута, а напряжение сети близко к номинальному, то э. д. с. вызывает большой ток, подобно тому, как и в короткозамкнутом трансформаторе. Поэтому режим при неподвижном роторе называют коротким замыканием асинхронного двигателя.
При коротком замыкании обычно можно пренебречь током намагничивания, так как он относительно мал. В этом случае с учетом (3.4) м. д. с. обмоток статора и ротора равны:
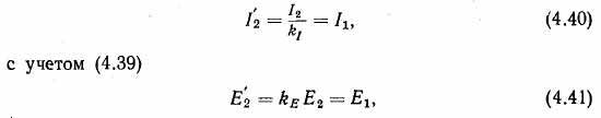
 Формулы приведения обмотки ротора. Обычно для удобства анализа условно заменяют действительную обмотку ротора фиктивной, имеющей то же число фаз и витков и тот же обмоточный коэффициент, что и статорная обмотка. Эту замену называют приведением обмотки ротора к статорной обмотке. Согласно (4.39, б) ток приведенной обмотки как и в трансформаторе
 т. е. электродвижущая сила E'2 приведенной роторной обмотки равна э. д. с. E1.
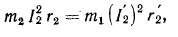
Из условия равенства потерь в действительной и приведенной обмотках ротора определяют выражение приведенного сопротивления, т. е.
откуда
 Из соображений сохранения пропорций между активным и индуктивным сопротивлением обмотки аналогично формуле (4.42) находят выражение для приведенного индуктивного сопротивления обмотки ротора
 Уравнения, векторная диаграмма и схема замещения коротко-замкнутой асинхронной машины. Вследствие того, что режим асинхронной короткозамкнутой машины при неподвижном роторе аналогичен короткому замыканию трансформатора, процессы в невращающейся асинхронной машине описываются теми же системами уравнений (3.8, в) и (3.9, в), что и при коротком замыкании трансформатора. Схема замещения (рис. 3.10, в) и векторная диаграмма короткозамкнутого трансформатора (см. рис. 3.11, б) остаются справедливыми для асинхронной машины при неподвижном роторе.
Сравнение неподвижной асинхронной машины и трансформатора. Несмотря на то, что между обмотками статора и ротора асинхронной машины осуществляется постоянная трансформаторная связь, аналогия между асинхронным двигателем и трансформатором далеко не полная. Основное отличие состоит в следующем:
1) обмотки трансформатора сосредоточенные, а у асинхронной машины — распределенные со сдвинутыми в пространстве осями фаз;
2) в трансформаторе первичная и вторичная обмотки неподвижны, в асинхронной машине могут перемещаться друг относительно друга;
3) в трансформаторе обмотка каждой фазы обычно расположена на отдельном стержне магнитопровода, у асинхронной машины магнитопровод общий для всех фаз;
4) в магнитопроводе трансформатора поток пульсирует, в магнитопроводе трехфазной асинхронной машины — вращается;
5) в магнитопроводе асинхронной машины имеется большой воздушный зазор, вследствие этого величина намагничивающего тока и параметры, характеризующие ветвь намагничивания у асинхронной машины и у трансформатора, различны.
Фазорегулятор. Фазорегулятор представляет собой асинхронную-машину с фазным заторможенным ротором, которая предназначается для регулирования фазы напряжения вторичной обмотки. Первичная обмотка регулятора обычно располагается на статоре, вторичная — на ротрре. При прохождении тока по первичной трехфазной обмотке создается вращающийся магнитный поток. Если оси обмоток статора и ротора имеют одинаковое направление в пространстве, то их э. д. с. совпадают по фазе.
Если ротор повернут на некоторый угол против вращения потока, то максимум потока достигает раньше осей обмоток ротора, а затем осей статора. В результате э. д. с. ротора опережает по фазе э. д. с. статора. Если же ротор повернут в сторону вращения, то его э. д. с. отстает по фазе от э. д. с. статора. Таким образом, поворачивая ротор машины, можно плавно менять фазу вторичной обмотки.
Фазорегуляторы нашли широкое применение в ряде автоматических устройств, для регулирования фаз сеточного напряжения
 ртутных выпрямителей и тиратронов, а также для проверки ваттметров и электрических счетчиков.
Индукционный регулятор. Иногда асинхронную машину с фазным ротором используют для плавного регулирования напряжения. В этом случае обмотку ротора соединяют через контактные кольца с обмоткой статора (рис. 4.31, а). Начала обмоток статора и ротора присоединяют к первичной сети, имеющей напряжение U1. Концы одной обмотки присоединяют к вторичной сети, имеющей напряжение U2, эту обмотку называют проходной. Концы другой обмотки соединяют в звезду или в треугольник. Проходной может быть статорная или роторная обмотка. Асинхронную машину, соединенную по такой схеме, называют индукционным регулятором.
 ВОПРОСЫ
1. В чем отличие неподвижной асинхронной машины от трансформатора?
2. Почему в трехфазном асинхронном двигателе поток вращается, а в трехфазном трансформаторе пульсирует?
3. Почему в трехфазном асинхронном двигателе создается вращающий момент, а в трансформаторе не создается?
4. Как зависит поток машины от числа витков и напряжения статора?
Содержание Главная (библиотека) Предыдущий § Следущий
|