|
Содержание Главная (библиотека) Предыдущий § Следущий
Глава III
ТРАНСФОРМАТОРЫ
§ 3.1. ОБЩИЕ СВЕДЕНИЯ
Устройство трансформаторов.
Трансформатором называется статический электромагнитный преобразователь
переменного тока. При помощи трансформатора в системах переменного тока
удобно изменять напряжение. Несмотря на то, что трансформатор не имеет
вращающихся частей, его рабочий процесс аналогичен процессам,

Рис. 3.1. Схема однофазного трансформатора:
а — стержневого; б — броневого: 1 — первичная обмотка; 2 — вторичная обмотка; 3
— стержень; 4 — ярмо
протекающим в других электрических
машинах, так как он основан на явлении электромагнитной индукции.
Обмотки трансформатора выполняются в
виде многовитковых цилиндрических катушек. Обмотку, присоединенную к питающей
сети, называют первичной, а обмотку, к которой присоединена нагрузка, —
вторичной. Для обеспечения лучшей взаимоиндукции первичная и вторичная обмотки
каждой фазы располагаются возможно ближе друг к другу на общем сердечнике (рис.
3.1), который представляет собой пакет, собранный из листов электротехнической
стали.
Сердечники силовых трансформаторов
обычно набираются (шихтуются) из прямоугольных листов электротехнической стали
таким образом, чтобы слои, набранные различным образом (рис. 3.2, а и
6), чередовались через
один (рис. 3.3, а). Листы сердечника стягиваются изолированными шпильками.
Различают два вида сердечников:
стержневой (рис. 3.1, а) и броневой (рис. 3.1, б). Сердечник броневого
типа имеет разветвленную магнитную систему, благодаря чему поток в стержне 3, на
котором расположена обмотка, больше, чем поток в ярме 4. Сердеч-

Рис. 3.2. Расположение листов при сборе сердечника трансформатора «внахлестку»

Рис. 3.3. Сборка магнитопровода
трансформатора: а) внахлестку; б)
встык: 1 — пластины Ш-образного профиля; 2 — пластины прямоугольного профиля; 3
— стержневые шпильки
ники трансформаторов малых мощностей
набираются Ш-образной, П-образной или тороидальной формы. Пакет сердечника может
быть собран внахлестку (рис. 3.3, а) или встык (рис. 3.3, б). Первому

Рис. 3.4. Ленточные сердечники: а —
броневой; б — стержневой; в — тороидальный; г — трехфазный
способу следует отдать предпочтение,
так как в этом случае в магнитной цепи образуются меньшие зазоры.
В последнее время получают
распространение сердечники, изготовляемые из узкой ленты электротехнической
стали (рис. 3.4). В большинстве случаев ленточные сердечники разрезаются на две
половины (рис. 3.5), что позволяет надеть на них катушки. После этого сердечники
стягиваются и закрепляются в стянутом виде (рис. 3.6).
Обмотки трансформатора могут
располагаться концентрически одна внутри другой или в чередующемся порядке по
высоте стержня магнитопровода, в последнем случае первичная и вторичная обмотки
выполняются в виде дисковых катушек.
В трансформаторах малой мощности
применяется многослойная обмотка, которая наматывается непрерывно вдоль всей
длины стержня магнитопровода до получения заданного числа витков. В некоторых
случаях обмотка выполняется из отдельных частей, намотанных на самостоятельные
каркасы. Каждая такая часть обмотки представляет собой законченную
конструктивную деталь, называемую галетой. Галеты надеваются на стержень
магнитопровода по всей его высоте и электрически соединяются между собой тем или
иным образом. На рис. 3.7 показано устройство однофазного галетного
трансформатора с ленточным сердечником.
Трансформаторы могут иметь несколько
вторичных обмоток (две, три и более). На рис. 3.9, б показана схема
соединенных в звезду обмоток трехфазного трансформатора. Обмотка A1B1C1
первичная, А2В2С2
— вторичная.
По способу охлаждения трансформаторы
разделяются на масляные (обмотки которых погружены в масло) и сухие (охлаждаемые
воздухом).
Нашими заводами выпускаются
трансформаторы мощностью, от долей вольт-ампера и напряжением от одного вольта
до сотен и

Рис. 3.5. Разрезанный ленточный сердечник

Рис. 3.6. Общий вид броневого трансформатора с ленточным сердечником

Рис. 3.7. Устройство однофазного
трансформатора мощностью 30 вт:
1 — каркас; 2 — первичная обмотка; 3 и 4 — вторичные обмотки; 5 — стяжной
хомутик
тысяч киловольт-ампер и напряжением в
сотни киловольт. В зависимости от назначения к трансформаторам предъявляются
различные требования.
Силовые трансформаторы электропередач
производятся для длительной службы в течение многих десятков лет. На пути от ге-
нерирующей станции до потребителя
электрическая энергия обычно подвергается трех- или даже четырехкратной
трансформации, поэтому к. п. д. трансформаторов для электропередачи должен быть
возможно более высоким.
Маломощные трансформаторы, применяемые
в схемах автоматики, могут иметь небольшой к. п. д., потому что теряемая в них

Рис. 3.8. Устройство трехфазного трансформатора мощностью 300 ква на
напряжение 6 кв:
1 — термометр; 2 — ввод обмотки
высокого напряжения; 3 — ввод обмотки низкого напряжения; 4 — пробка для заливки
масла; 5 — маслоуказатель; 5 — пробка для заливки масла; 7 — расширитель; 8 —
магнитопровод; 9 — обмотка низкого напряжения; 10 — обмотка высокого напряжения;
11 — пробка для спуска масла; 12 — бак для масла; 13 — радиаторные трубы для
охлаждения масла
энергия относительно невелика. Эти
трансформаторы предназначаются для значительно меньшего срока службы, так как
электронная аппаратура, в схемах которой они работают, сравнительно быстро
изнашивается.
Трансформаторы для радиоэлектроники
должны иметь малые габариты и низкую стоимость.
Принцип действия. При
прохождений электрического тока по обмоткам трансформатора создается магнитный
поток. Поток, связанный с каждой обмоткой, удобно рассматривать состоящим из
двух составляющих: потока взаимоиндукции и потока рассеяния.

Рис. 3.9. Магнитный поток: а —
однофазного трансформатора; б — трехфазного трансформатора
Поток взаимоиндукции Ф (рис. 3.9, а)
полностью сцеплен со всеми витками обмоток одной фазы. Все остальные потоки
являются потоками рассеяния. На рис. 3.9, а и б показаны пути
некоторых потоков рассеяния ФS обмоток. Помимо этих путей,
могут быть и другие, все они частично проходят по воздуху.
Первичную обмотку трансформатора
присоединяют к питающей сети переменного тока. При разомкнутой вторичной обмотке
(холостой ход) ток первичной обмотки создает поток, значительная часть которого,
сцепленная с обеими обмотками, является потоком взаимоиндукции Ф.
В результате изменения во времени
потока взаимоиндукции в обмотках индуктируются э. д. с. Их значения
пропорциональны потокосцеплениям, которые равны произведению потока взаимоин-
дукции на число витков данной обмотки.
Потокосцепление первичной обмотки определяется в основном напряжением питающей
сети. Оно меньше напряжения сети на величину падения напряжения в активном и
индуктивном сопротивлениях первичной обмотки.
Если вторичная обмотка трансформатора
замкнута накоротко или на активно-индуктивную нагрузку, то ток вторичной обмотки
стремится уменьшить вызывающий его поток и размагничивает сердечник, на котором
намотана первичная обмотка. Вследствие этого индуктивность первичной обмотки
уменьшается и ток ее возрастает.
При наличии тока во вторичной обмотке
величина потока Ф взаимоиндукции определяется совместным действием м. д. с.
первичной и вторичной обмоток. Намагничивающее действие возросшего первичного
тока компенсирует размагничивающее влияние вторичного тока, и поток
взаимоиндукции почти не изменяется. Поэтому почти такими же, как и при холостом
ходе, остаются э. д. с. первичной и вторичной обмоток. Их значения могут
изменяться лишь за счет увеличения составляющих падения напряжения в активном и
индуктивном сопротивлениях первичной обмотки.
Отношение k называется
коэффициентом трансформации. Этот
коэффициент показывает во сколько раз э. д. с. первичной обмотки больше или
меньше э. д. с. вторичной. В некоторых случаях коэффициент трансформации
определяют как отношение э. д. с. обмотки высшего напряжения к э. д. с. обмотки
низшего напряжения.
Учитывая (3.1) и (3.2), получим для э.
д. с. вторичной обмотки следующее равенство:

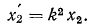
Ток i'2 называют приведенным током вторичной обмотки. Под
приведенным током следует понимать ток вторичной обмотки при k = 1.
Из (3.5) следует, что при нагрузке
трансформатора ток первичной обмотки увеличивается по сравнению с током
холостого хода i0 на величину, обратную приведенному току
i'2 вторичной обмотки.
При холостом ходе вторичная обмотка
трансформатора разомкнута, но в реальном трансформаторе в стальном
магнитопроводе всегда имеются некоторые вторичные замкнутые контуры токов,
которые действуют на первичную обмотку так же, как и замкнутая вторичная
обмотка. К вторичным контурам можно отнести контуры вихревых токов в листах
стали, в стяжных болтах и т. д. Эти контуры проходят по поверхностным участкам
стали, имеющим большое активное сопротивление, поэтому создаваемые ими потери
значительны, и в первичной обмотке они в основном вызывают активную составляющую
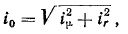
тока холостого хода i0. Полная активная составляющая ir
тока холостого хода учитывает также потери в стали на
перемагничивание. С учетом активной
составляющей ток холостого хода

где iμ — намагничивающий ток, необходимый для создания потока
взаимоиндукции Ф.
Таким образом, учитывая выражение
(3.5), можно считать, что ток первичной обмотки i1 имеет две
составляющие, одна из которых (i0) создает поток
взаимоиндукции и компенсирует потери в стали при холостом ходе, а другая (-i'2)
компенсирует размагничивающее действие тока вторичной обмотки.
Системы дифференциальных уравнений.
По второму закону Кирхгофа для напряжения первичной и вторичной обмоток фазы
трансформатора можно составить следующие уравнения:

где и — мгновенное значение напряжения на зажимах обмоток; i —
мгновенное значение токов обмоток;
r — активное сопротивление
обмоток;
L — индуктивность,
соответствующая полному потоку, сцепленному с обмоткой;
М — взаимоиндуктивность между
обмотками, определяемая сцеплением потока Ф с витками первичной и вторичной
обмоток:

Индекс 1 относится к первичной обмотке, индекс 2 — ко вторичной.
Если сцепленный с первичной обмоткой
поток (рис. 3.9) рассматривать, как состоящий из двух частей (потока
взаимоиндукции Ф и потока рассеяния Фs), то полную
индуктивность первичной об-
сцеплению вторичной обмотки с потоком
взаимоиндукции Ф и L2s — соответствующую ее сцеплению с
потоком рассеяния, т. е.

Тогда система уравнений (3.7) примет вид

В результате взаимодействия м. д. с. первичной и вторичной обмоток создается
поток взаимоиндукции Ф. Его сцепление с витками ω1 определяет
э. д. с. первичной обмотки:

Сцепление потока Ф с витками ω2 определяет э. д. с. вторичной
обмотки:

поэтому из выражения (3.8) имеем следующую систему уравнений

Уравнение равновесия м. д. с. (3.4) и уравнения напряжения первичной и вторичной
обмоток составляют систему уравнений трансформатора. Пользуясь любой из
систем уравнений (3.7), (3.8) или (3.9), можно анализировать процессы,
происходящие в трансформаторе. Система уравнений (3.7) обычно применяется в
электротехнике и при анализе переходных процессов. Системы уравнений (3.8) и
(3.9) широко применяются в теории электрических машин. В дальнейшем будем
пользоваться преимущественно системами типа (3.8) и (3.9).
Приведенный трансформатор. Для
облегчения анализа процессов, происходящих в трансформаторе, упрощения векторной
диаграммы и возможности построения схемы замещения условно принимают, что
приведенный ток вторичной обмотки i'2 является ее
действительным током. С этой целью действительную вторичную обмотку с числом
витков ω2 условно заменяют фиктивной обмоткой,
с числом витков ω1. Такую
условную обмотку называют приведенной вторичной обмоткой, а операцию замены —
приведением вторичной обмотки к первичной.
Так как число витков приведенной вторичной
обмотки равно числу витков первичной, то индуктируемые потоком взаимоиндукции
электродвижущие силы обеих обмоток равны, т. е.

Необходимо, чтобы приведенная обмотка была
эквивалентна действительной вторичной обмотке. Поэтому потери должны
сохраниться:

В приведенной обмотке должны сохраниться те же
соотношения между активными и индуктивными падениями напряжений, которые
существуют в действительной обмотке. Отсюда получим выражение для индуктивного
сопротивления приведенной обмотки

Зная приведенные значения тока, напряжения и
сопротивления, всегда можно путем пересчета определить их действительные
значения и, наоборот, зная действительные значения, — определить приведенные.
Системы уравнений приведенного трансформатора
в установившемся режиме. В случае синусоидального изменения токов и
напряжений трансформатора при рассмотрении установившихся процессов можно
перейти от системы дифференциальных уравнений к системе уравнений в комплексном
виде. Для формального получения комплексных уравнений достаточно в
дифференциальных уравнениях за-

Схемы замещения. В теории электрических машин широко используются схемы
замещения, при переходе к которым действительные трансформаторные связи, т.
е. электромагнитные, заменяются электрическими. Схемы составляются таким
образом, чтобы их токи и напряжения описывались теми же уравнениями, что и в
трансформаторе. Передаваемая мощность, фазовые соотношения токов и напряжений в
схеме замещения такие же, как и в трансформаторе.
Схемы замещения удобны для
аналитического и опытного исследования установившихся и переходных процессов.
Они легко могут быть собраны из отдельных индуктивных и активных сопротивлений.
Напряжения и токи всех участков схем легко рассчитать или измерить. В случае
многофазного трансформатора схемы замещения составляются для одной фазы.
Системам уравнений (3.8, а)
и (3.9, а) соответствует схема замещения, представленная на рис.
3.10, а. Каждому члену уравнения системы, отражающему падение напряжения
или э. д. с. обмотки, соответствует определенный участок схемы, на котором имеет
место падение напряжения в данном сопротивлении или действует приложенное
напряжение. Стрелки на схеме замещения показывают положительное направление
токов первичной и вторичной обмоток.
  
Рис. 3.10. Схема замещения
трансформатора:
а — без учета активного сопротивления в цепи намагничивания; б — с учетом
активного сопротивления в цепи намагничивания; в — без учета цепи намагничивания

ВОПРОСЫ
1. Почему при увеличении тока во
вторичной обмотке трансформатора увеличивается ток первичной обмотки? Как при
этом изменяются поток взаимоиндукции и индуктируемая им э. д. с? Почему
трансформатор не может работать от сети постоянного тока?
2. Чем определяется магнитный
поток в сердечнике трансформатора? Если считать неизменными остальные величины,
то как изменится поток при увеличении первичного напряжения, сечения
магнитопровода, числа витков первичной обмотки, числа витков вторичной обмотки,
частоты сети? Почему при изменении сечения магнитопровода поток не меняется? Что
при этом меняется?
3. В каком случае измеренный ток
вторичной обмотки будет равен ее приведенному току? Что такое приведенный
трансформатор? Влияет ли число витков вторичной обмотки на приведенное значение
ее э. д. с?
4. Как в уравнениях
трансформатора учитываются э. д. с, наводимые потоками рассеяния? Как замыкаются
потоки рассеяния обмоток трансформатора?
Содержание Главная (библиотека) Предыдущий § Следущий
|