|
Содержание Главная (библиотека) Предыдущий § Следущий
§ 1.7. ОСНОВНЫЕ ЗАКОНЫ, УСЛОВНЫЕ ОБОЗНАЧЕНИЯ И МНЕМОНИЧЕСКИЕ ПРАВИЛА
Работа электрической машины неизменно связана с двумя одновременно происходящими процессами: во-первых, в витках обмотки якоря индуктируется электродвижущая сила (э. д. с.) и, во-вторых, в результате взаимодействия проходящего по этой обмотке тока и магнитного потока машины возникает электромагнитная сила. Приступая к изучению электрических машин, необходимо уметь определять величину и направление векторов электромагнитных полей, сил и наводимых э. д. с.
Полярность катушки с током. Из электротехники известно, что вокруг проводника с током образуется магнитное поле. Направление линий индукции магнитного поля определяют по правилу буравчика: если буравчик (или винт с правой резьбой) ввинчивать в направлении тока, то направление линий индукции совпадает с направлением вращения буравчика (рис. 1.9).
 Рис. 1.9. Направление тока и поля проводника
По правилу буравчика определяют полярность поля, создаваемого катушкой, по которой проходит электрический ток, для этого можно найти направление поля отдельных проводников. Сторону катушки, из которой выходят линии магнитной индукции, условно считают северным полюсом, сторону, в которую входят, — южным.
Для определения направления полярности следует мысленно расположить ось буравчика вдоль оси катушки и вращать буравчик по направлению тока. Поступательное движение буравчика определяет направление линий магнитной индукции катушки.
Электродвижущая сила. Электродвижущая сила витка, согласно закону электромагнитной индукции, определяется выражением
где е — электродвижущая сила, в;
Ф — поток, вб;
t — время, сек.
Виток обмотки электрической машины состоит из двух активных сторон 1 и 2, соединенных лобовыми частями 3 (рис. 1.10). Активные проводники закладываются в разные пазы и имеют длину, несколько превышающую длину пакета l магнитопровода. Таким образом, виток охватывает поток, проходящий по пакету стали между пазами, в которых расположены его активные стороны.
Обозначим координаты расположения пазов вдоль воздушного зазора: x1— координата паза, в котором расположена активная сторона 1, и х2 — координата паза, в котором расположена активная сторона 2. Предполагая, что магнитная индукция В по длине пакета l остается неизменной, получим выражение охватываемого витком потока:
 Рис. 1.10. Расположение витка об мотки в пазах якоря:
1 и 2 — активные стороны; 3 — лобовые части
 В общем случае значение связанного с витком потока может меняться как от положения витка, так и во времени, поэтому поток следует рассматривать относительно витка как функцию двух переменных: времени t и пространственной координаты х. Таким образом, э. д. с. витка
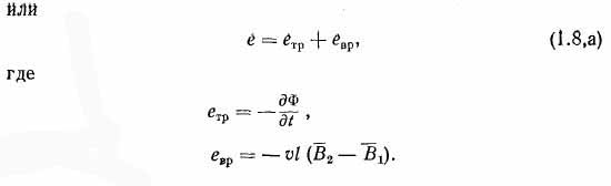
 Из (1.8) следует, что в общем случае э. д. с. е витка состоит из двух различных по своему происхождению э. д. с. етр и евр. Электродвижущая сила етр возникает в случае, если поток машины, охватываемый витком, изменяется во времени по величине независимо от
его механического перемещения. Такая э. д. с. индуктируется в неподвижной обмотке трансформатора и называется

Рис. 1.11. Правило правой руки
Рис. 1.12. Правило нанизывания силовых линий
трансформаторной. Электродвижущая сила евр возникает при движении витков обмотки в магнитном поле, которое имеет место в случае вращения ротора, и называется э. д. с. вращения. Она представляет собой геометрическую разность э. д. с, индуктируемых в активных сторонах 1 и 2 витка вследствие их механического перемещения. Индуктируемая в одном активном проводнике э. д. с. вращения равна
 Направление действия э. д. с. вращения каждого проводника можно определить по правилу правой руки: если правую руку расположить так, чтобы линии магнитной индукции входили в ладонь, а отогнутый в плоскости ладони на 90° большой палец был обращен в сторону движения проводника, то остальные вытянутые пальцы покажут направление э. д. с. (рис. 1.11).
В некоторых случаях проводник остается неподвижным, а перемещается поле, тогда при пользовании правилом правой руки следует считать, что проводник движется в сторону, обратную перемещению поля.
Более наглядным является правило нанизывания линий индукции, согласно которому при пересечении проводником линий магнитной индукции от них как бы отделяются кольца, которые нанизываются на движущийся проводник. Направление тока и э. д. с. в этом случае следует определять по правилу буравчика (рис. 1.12).
Направление действия трансформаторной э. д. с. определяют, пользуясь законом Ленца, согласно которому ток витка, вызванный э. д. с. етр создает поток, направленный встречно изменению вызвавшего его потока. Сначала по закону Ленца определяют направление магнитного потока, который должен возникнуть от тока в замкнутом витке, а затем находят направление этого тока и вызвавшей его трансформаторной э. д. с. етр.
 Рис. 1.13. Правило левой руки
 Из (1.10) следует, что электромагнитная сила, действующая на прямолинейный проводник длиной l, который расположен под прямым углом к вектору индукции магнитного поля, равна
f = ВlI. (1.11)
Направление электромагнитной силы определяют по правилу левой руки: если левую руку расположить так, чтобы линии магнитной индукции входили в ее ладонь, а вытянутые в плоскости ладони пальцы указывали направление тока проводника I, то отогнутый в плоскости ладони на 90° большой палец покажет направление действия электромагнитной силы f (рис. 1.13).
Более наглядным является правило, согласно которому электромагнитная сила действует в сторону, обратную сгущению линий магнитной индукции. Поле, образованное проводником с током (рис. 1.14, а), накладывается на основное магнитное поле (рис.
1.14, б) и деформирует его (рис. 1.14, в). В области, где линии магнитной индукции направлены встречно, они как бы компенсируют друг друга и поле ослабляется, а в области, где линии магнитной
 Рис. 1.14. Сгущение линий магнитной индукции при прохождении тока по проводнику в машинном поле
индукции направлены согласно, они сгущаются, и поле усиливается. Действие линий магнитной индукции можно сравнить с действием упругих резиновых нитей, которые, стремятся сократиться. Электромагнитная сила f направлена в сторону, обратную сгущению линий магнитной индукции; она стремится вытолкнуть проводник с током из области магнитного поля.
Содержание Главная (библиотека) Предыдущий § Следущий
|