Содержание
< назад вперед >
§ 99. ИЗМЕРЕНИЕ НАПРЯЖЕНИЯ
Для
измерения напряжения употребляются вольтметры. Вольтметры включаются
параллельно тому участку цепи, где необходимо измерить напряжение. Чтобы прибор
не потреблял большой ток и не влиял на величину напряжения цепи, обмотка его
должна иметь большое сопротивление. Чем больше внутреннее сопротивление
вольтметра, тем точнее он будет измерять величину напряжения. Для этого
обмотка вольтметра изготовляется из большого числа витков тонкой проволоки.
Для
расширения пределов измерения вольтметров употребляются добавочные
сопротивления, включаемые последовательно с вольтметрами
(рис. 229).

В этом
случае напряжение сети распределяется между вольтметром и добавочным сопротивлением.
Величину добавочного сопротивления необходимо подбирать с таким расчетом, чтобы
в цепи с повышенным напряжением по обмотке вольтметра проходил тот же ток, что
и при номинальном напряжении. Ток, на
который рассчитана обмотка
прибора,

В цепи с напряжением, в n раз большим, ток вольтметра
с добавочным сопротивлением r должен остаться прежним:

отсюда величина добавочного
сопротивления равна

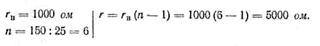
Пример 2. Вольтметром на 25 в необходимо измерить
напряжение 150 в. Определить величину добавочного сопротивления, если
внутреннее сопротивление вольтметра 1000 ом:

Добавочные
сопротивления изготовляют из манганиновой про волоки,
намотанной на гетинаксовый или фарфоровый каркас и помещают
внутри прибора или отдельно от него. Для измерения высоких напряжений
переменного тока употребляются измерительные
трансформаторы напряжения.
|