Содержание
< назад вперед >
§ 74
МОЩНОСТИ В ЦЕПЯХ ПЕРЕМЕННОГО ТОКА
В большинстве случаев
электрические цепи содержат как активное, так
и реактивное сопротивления. К такого рода цепям относятся, в частности,
двигатели переменного тока, трансформаторы и другие устройства. В этих цепях
между напряжением U и током I существует
сдвиг фаз j. Если к цепи приложено
синусоидальное напряжение

то ток в цепи

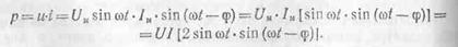
Мгновенная мощность цепи

Выражение,
стоящее в квадратных скобках, можно на основании
тригонометрической формулы представить как разность косинусов

Таким образом,

Среднее значение мгновенной
мощности за период равно UL cos j, так как среднее значение соs (2wt — j) за период равно нулю.
Следовательно, активная мощность цепей переменного тока определяется в общем случае
формулой

Множитель соs j называют
коэффициентом мощности.
Учитывая,
что получаем

Активная мощность измеряемся
в ваттах (вт) или в киловаттах (квт).

Произведение Рt называется активной энергией и
измеряется в вт×сек или в квт× ч: 1 квт ×ч = 3800 вт×сек (дж).
Активная
энергия, потребляемая электрической цепью, полностью
преобразуется в тепло в активном сопротивлении этой цепи и обратно к источнику не
возвращается.
Если
величины сторон треугольника сопротивлений (рис. 165, а) умножить на
величину I2 (рис. 165,
б), то получим треугольник мощностей (рис.
165, в). Все стороны
этого треугольника показанного
отдельно на
рис. 166, представляют собой мощности.
Катет, прилегающий к углу j,
представляет собой известную нам активную мощность Р:

Активная
мощность в цепях переменного тока преобразуется в тепло. В
двигателях переменного тока большая часть активной мощности превращается в
механическую мощность, остальная Часть также преобразуется в тепло.
Катет, лежащий против угла j, есть
реактивная мощность Q:

Реактивная
мощность обусловлена наличием магнитных и электрических полей в электрических
цепях.
Как уже
указывалось, реактивная мощность характеризует интенсивность обмена энергией
между источником, с одной стороны, и
магнитными и электрическими полями — с другой.
Реактивная
мощность измеряется в вольт-амперах реактивных (вар) или киловольт-амперах
реактивных (тар).
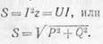
Гипотенуза треугольника
мощностей представляет собой полную мощность S:

Она измеряется в вольт-амперах
(ва) или киловольт-амперах (ква). Величина полной мощности равная
произведению U×I, определяет основные габариты
(наибольшие размеры) генераторов и трансформаторов. В самом деле, величина тока
I определяет необходимое по
условиям нагрева сечение проводов генераторов и трансформаторов, а число
витков обмоток, их
изоляция, а также размеры
магнитопроводов пропорциональны величине напряжения U.

Таким
образом, чем больше значения U и I, на которые рассчитываются
генераторы и трансформаторы, тем больше должны быть их размеры.
Рассмотрим
электрическую цепь, показанную на рис. 167, в которую входят индуктивное и
активное сопротивления и измерительные приборы — амперметр, вольтметр и ваттметр.
Об устройстве ваттметра будет рассказано далее (см. главу одиннадцатую).

1. Если
подключить эту цепь к постоянному напряжению U = 120 в, то, поскольку индуктивное
сопротивление xL при постоянном токе будет
равно нулю, в цепи остается одно активное сопротивление r и
тогда

Амперметр
покажет ток 5 а.
Мощность

или

Ваттметр покажет 600 вт. Показание ваттметра,
включенного в цепь постоянного тока, равно произведению показаний вольтметра и
амперметра.
2. Подключим ту же цепь к
переменному напряжению U= 120в.
В этом случае

Ток
в цепи

Амперметр покажет ток 4 а.
Подсчитаем мощность, идущую
на нагрев:

Действительно, активная
мощность, потребляемая цепью, равна

Показание ваттметра в этом случае
будет 384 вт.
Полная мощность

Следовательно,
генератор, питающий эту цепь, отдает полную мощность S = 480 ва. Но в самой цепи только
активная мощность Р = 384 вт. безвозвратно преобразуется
в тепло.
Отсюда
видно, что цепь переменного тока, содержащая наряду с активным сопротивлением
индуктивное, из всей получаемой ею энергии только часть расходует на тепло. А
остальная часть — реактивная энергия — то поступает в цепь от генератора и запасается
в магнитном поле катушки, то возвращается обратно генератору.
|