|
Содержание
< назад вперед >
§ 54. СОЕДИНЕНИЕ КОНДЕНСАТОРОВ
Когда емкость одного конденсатора мала, то соединяют несколько конденсаторов параллельно (рис. 113).
При параллельном соединении конденсаторов напряжение между пластинами каждого конденсатора одно и то же.
Поэтому можно написать

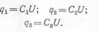
Заряд каждого конденсатора:

Общий заряд батареи конденсаторов:

Обозначая емкость батареи конденсаторов через С, получаем

тогда

или окончательно

Следовательно, при параллельном соединении конденсаторов общая емкость равна сумме емкостей
отдельных конденсаторов. При параллельном соединении каждый конденсатор
окажется включенным на полное напряжение сети, поэтому параллельно соединять
можно только те конденсаторы, у которых рабочее напряжение больше или равно
напряжению сети.

Рассмотрим последовательное соединение конденсаторов (рис 114).
Если левая пластина первого конденсатора заряжена положительно (+), то вследствие электростатической
индукции правая пластина этого конденсатора получит отрицательный заряд (—),
перешедший с левой пластины второго конденсатора, которая сама зарядится положительно, и т. д. Значит при
последовательном соединении каждый конденсатор независимо от величины его емкости
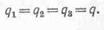
получит один и тот же заряд, т. е.

Напряжение, приложенное ко всей батарее
конденсаторов, равно сумме напряжений на пластинах каждого конденсатора:

Так как

для всей батареи

Теперь можно написать

или, сокращая на д, получим окончательно

Таким образом, при
последовательном соединении конденсаторов обратная величина общей емкости
равна сумме обратных величин емкостей отдельных конденсаторов. Каждый из
конденсаторов включен на меньшее напряжение, чем напряжение сети, что позволяет
при последовательном соединении конденсаторов их рабочее напряжение выбирать
меньшим, чем напряжение сети.
Конденсаторы широко применяются в радиотехнике и промышленной электротехнике.
Содержание
< назад вперед >
|