|
Содержание
< назад вперед >
§ 36. ЭЛЕКТРОМАГНИТЫ
Круговой проводник с током.
Возьмем проводник, согнутый по кругу в виде витка, и пропустим по нему ток
(рис. 75). Из чертежа видно, что магнитные линии замыкаются вокруг проводника

с током и имеют форму окружностей.
Магнитные линии с одной стороны входят в плоскость кругового проводника, с другой — выходят.
Направление поля кругового тока можно определить, пользуясь "правилом буравчика".
Буравчик нужно расположить по оси кругового тока перпендикулярно его плоскости. Если теперь вращать ручку
буравчика по направлению тока в контуре, то поступательное движение
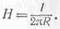
буравчика покажет направление магнитного поля. Напряженность магнитного поля в центре витка с током определяется по формуле

Переходя к магнитной индукции, имеем

где R — радиус витка;
D — диаметр витка.
Соленоид. Магнитную индукцию поля можно значительно увеличить, если проводнику, по которому пропускают
электрический ток, придать форму спирали с большим числом витков. Такая проволочная
спираль называется соленоидом (рис. 76, а).
Если мысленно разрезать витки соленоида поперек, обозначить направление тока в них, как было указано выше, и
определить направление магнитных линий по "правилу буравчика", то общее
магнитное поле соленоида будет иметь такой вид, как показано на рис. 76, б.

На оси бесконечно длинного соленоида, на каждой единице длины которого намотано w витков, напряженность
поля определяется формулой

В том месте, где магнитные
линии имеют направления внутрь соленоида, образуется южный полюс, где они направлены из соленоида — северный.

Для определения полюсов
соленоида пользуются "правилом буравчика", применяя его следующим образом: если
расположить буравчик вдоль оси соленоида и вращать его по направлению тока в
витках соленоида, то поступательное движение буравчика покажет направление
магнитного поля (рис. 77).
Соленоид, внутри которого
находится стальной (железный) сердечник, называется электромагнитом (рис. 78).
Магнитное поле у электромагнита значительно сильнее, чем у соленоида, так как
кусок стали, вложенный в соленоид, намагничивается и результирующее магнитное
поле усиливается. Полюсы у электромагнита можно определить, так же как и у
соленоида, по «правилу буравчика».
Магнитный поток электромагнита усиливается с увеличением числа его витков и тока, протекающего по виткам.
Обмотка электромагнита возбуждает (создает) необходимый магнитный поток и поэтому во многих случаях ее
называют обмоткой возбуждения.
Электромагниты широко
применяются в технике. Они служат для создания магнитного поля в электрических
генераторах и двигателях, в электроизмерительных приборах, электрических аппаратах и других устройствах.
К этим устройствам относятся
и электромагнитные реле, т. е. приборы или автоматы, реагирующие на изменения тока, напряжения, мощности и т. д.
На рис. 79 представлены
некоторые конструкции электромагнитных реле. Работа этих реле основана на взаимодействии
магнитного поля, создаваемого неподвижной катушкой, по которой проходит ток, и
стального подвижного якоря. При изменении тока в цепи катушки 1 магнитный
поток в сердечнике 2 усиливается, и его величина оказывается достаточной для того,


повернуть или втянуть якорь
3. При этом замыкаются контакты К в цепи управления (например, в цепи, отключающей катушки выключателя и т. д.).
Реле нашли применение в автоматике, телемеханике, системах электроснабжения.
Содержание
< назад вперед >
|