|
Содержание
< назад вперед >
§ 12. СОЕДИНЕНИЕ ПРОВОДНИКОВ МЕЖДУ СОБОЙ. ПЕРВЫЙ ЗАКОН КИРХГОФА
Отдельные проводники
электрической цепи могут быть соединены между собой последовательно,
параллельно и смешанно.
Если проводники соединены
таким образом, что по ним проходит один и тот же ток, то такое соединение
проводников называется последовательным (рис. 26).
Следовательно, ток на
отдельных участках последовательной цепи имеет одинаковую величину:

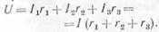
Сумма падений напряжений на
отдельных участках равна напряжениювсей цепи:

Напряжение цепи можно представить как

где r — общее сопротивление всей цепи. Следовательно,

Сокращая обе части равенства
на I получим


Общее сопротивление цепи, состоящей из нескольких
последовательно соединенных сопротивлений, равно сумме этих сопротивлений.

Пример 20. Три
сопротивления 10, 15 и 20 ом соединены последовательно, как показано на рис.
27. Ток в цепи 5 а. Определить падение напряжения на каждом сопротивлении и
общее напряжение цепи:
.
Если два или большее число
проводников присоединены к двум узловым точкам, то такое соединение проводников
называется параллельным (рис. 28). Напряжение на каждом из проводников равно
напряжению U, приложенному к узловым точкам цепи А и В.
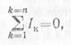
На рисунке видно, что при
параллельном соединении проводников для прохождения тока имеется несколько
путей. Ток, притекая к точке разветвления А, растекается далее по трем сопротивлениям
и равен сумме токов, уходящих от этой точки:

Если токи, приходящие к точке
разветвления, считать положительными,
а уходящие —
отрицательными, то для точки разветвления можно написать:

т. е. алгебраическая сумма токов для любой узловой точки цепи всегда равна
нулю. Это соотношение называется первым законом Кирхгофа.

Обычно при расчете электрических цепей направления токов в
ветвях, присоединенных к какой-либо точке разветвления, неизвестны. Поэтому для
возможности самой записи уравнения первого закона Кирхгофа нужно перед началом
расчета цепи произвольно выбрать так называемые положительные направления
токов во всех ее ветвях и обозначить их стрелками на схеме. Действительные
направления токов определятся в результате расчета.
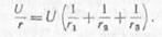
Пользуясь законом Ома, можно вывести
формулу для подсчета общего сопротивления при
параллельном соединении потребителей. Общий ток, приходящий к точке А, равен

Токи в каждой из ветвей имеют
значения:

По первому закону Кирхгофа

или

Вынося U в правой части
равенства за скобки, получим

Сокращая обе части равенства
на U, получим формулу подсчета общей проводимости 
или

Таким образом, при
параллельном соединении увеличивается не сопротивление, а проводимость.
Пример 21.
Определить общее сопротивление трех параллельно включенных сопротивлений, если r1 = 2 ом, r4=3 ом, r3 = 4 ом:

откуда

Пример 22. Пять
сопротивлений 20, 30, 15, 40 и 60 ом включены параллельно в сеть. Определить
общее сопротивление:

откуда

Следует заметить, что общее
сопротивление разветвленного участка цепи всегда меньше, чем самое меньшее
сопротивление, входящее в разветвление.
Если сопротивления,
включенные параллельно, равны между собой, то общее сопротивление r цепи равно сопротивлению одной ветви r1,
деленному на число ветвей n:

Пример 23.
Определить общее сопротивление четырех параллельно включенных сопротивлений по
20 ом каждое:

Для проверки попробуем найти сопротивление разветвления по
формуле

 откуда

Как видим, ответ получается тот же.
Пример 24. Пусть
требуется определить токи в каждой ветви при параллельном их соединении,
изображенном на рис. 29, а.
Найдем общее сопротивление цепи:

откуда

Теперь все разветвление мы можем изобразить упрощенно как
одно сопротивление (рис. 29, б).

Падение напряжения на участке между точками А и Б будет

Возвращаясь снова к
рис. 28, а, видим, что все три сопротивления окажутся под напряжением
24 в, так как они включены между точками А и Б.
Рассматривая первую ветвь разветвления с сопротивлением гл, мы видим, что
напряжение на этом участке 24 в,
сопротивление участка 2 ом. По закону Ома, ток на этом участке будет

Ток второй ветви

Ток третьей ветви

Проверим по первому закону Кирхгофа:

Следовательно, задача решена верно.
Обратим внимание на то, как распределяются токи в ветвях
нашего параллельного соединения:

Как видим, сопротивление
первой ветви в два раза меньше сопротивления второй ветви, а ток первой ветви в
два раза больше тока второй ветви. Сопротивление третьей ветви в три раза
больше сопротивления первой ветви, а ток третьей ветви в три раза меньше тока
первой ветви. Отсюда можно сделать вывод, что токи в ветвях при параллельном
соединении распределяются обратно пропорционально сопротивлениям этих ветвей.
Таким образом, по ветви с большим сопротивлением потечет ток меньший, чем по
ветви с малым сопротивлением.
Для двух параллельных ветвей
проще пользоваться данной выше формулой.
Общее сопротивление в этом
случае можно подсчитать по формуле

или окончательно:

Если в электрической цепи
имеются как последовательные, так и параллельные соединения отдельных проводников,
то мы имеем дело со смешанным
соединением.

Пример 25.
Определить общее сопротивление смешанного соединения, представленного на рис.
30, если

Находим общее сопротивление первого разветвления:

откуда

Общее сопротивление второго разветвления

откуда
Общее сопротивление цепи

Содержание
< назад вперед >
|