<< Предыдущая |
Содержание |
Следующая >>
Мост для измерения сопротивлений
§ 77. МОСТ ДЛЯ ИЗМЕРЕНИЯ СОПРОТИВЛЕНИЙ
Для измерения сопротивления и
других электрических величин широко используются измерительные мосты (рис. 89).
Переменные сопротивления r1,
r2, и
r4 образуют
плечи моста. Плечо моста
r3 является
неизвестным измеряемым сопротивлением (r3==rx). Плечи моста образуют две параллельные ветви. В
ветвь ABD включены сопротивления
r1 и r3, которые соединены последовательно. Ветвь ACD
состоит из сопротивлений r2 и r4, также соединенных последовательно. В диагональ моста
ВС (мостовая ветвь) включен гальванометр магнитоэлектрической системы, а в
диагональ AD — источник постоянного тока напряжением U в.
Подбором величин
сопротивлений r1,
r2, и
r4 можно добиться того, что в цепи гальванометра (в
мостовой ветви) на участке ВС тока не будет. В этом случае говорят, что мост
уравновешен.
Когда в гальванометре ток
равен нулю, потенциал точек В и С равны между собой. Если в точках В и С потенциал различный, то
через гальванометр потечет ток и мост уравновешен
не будет.
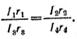
Потенциалы в точках В и С
будут равны в том случае, когда на участках АВ и СА будет одинаковое падение
напряжения.
Это равенство можно записать
так:

но при этом условии должны
быть равны между собой и напряжения на участках BD и CD. Запишем это
равенство:

Разделим первое равенство на
второе и получим пропорцию

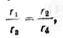
Сопротивления
r1, и
r3
соединены последовательно и поэтому токи
I1 и
I3 равны
между собой. Сопротивления r2 и
r4 также соединены последовательно и,
следовательно, токи I2 и I4 также равны. Произведя сокращение в пропорции равных
токов, получим.

отсюда определим неизвестное
сопротивление rх=r3:

В связи с тем что величины
сопротивлений r1, r2 и r4 моста известны, подставим их значения в формулу (97)
и определим величину неизвестного сопротивления
rх.
Для измерения сопротивления
таким мостом необходимо: подключить к зажимам
rх моста
неизвестное сопротивление, а к зажимам « + » и «—» подключить источник
постоянного тока; установить соотношение плеч моста
r1 и
r2,
включить гальванометр и подобрать сопротивление плеча моста
r4 так,
чтобы стрелка гальвано метра стояла на нулевом делении (это укажет на то, что
мост уравновешен); подставить в формулу (97) известные величины
r1,
r2 и
r4 и
вычислить величину измеряемого сопротивления.
<< Предыдущая |
Содержание |
Следующая >>
|