<< Предыдущая |
Содержание |
Следующая >>
Цепь переменного тока с активным, индуктивным и ёмкостным сопротивлениями
§ 56. ЦЕПЬ ПЕРЕМЕННОГО ТОКА С АКТИВНЫМ,
ИНДУКТИВНЫМ И ЕМКОСТНЫМ СОПРОТИВЛЕНИЯМИ
На рис. 57, а изображена цепь
переменного тока, в которую
включены последовательно активное
сопротивление r, индуктивность
L, обладающая индуктивным сопротивлением ХL, и емкость С, обладающая емкостным сопротивлением Хс.
Под действием переменного
напряжения в этой цепи протекает переменный ток.
Выясним, чему равно общее
напряжение на зажимах цепи. Построим векторную диаграмму тока и напряжений
для рассматриваемой цепи (рис. 57, б). Так как сопротивления соединены
последовательно, то в них протекает одинаковый ток. Отложим по горизонтали,
в выбранном масштабе вектор тока
I. В цепи с активным сопротивлением ток и напряжение
совпадают по фазе,
поэтому вектор напряжения Uа откладываем
по вектору тока.
Напряжение на индуктивности
опережает ток на угол
j = 90°. Поэтому вектор UL
откладываем вверх
под углом 90° к вектору тока.
В цепи с емкостью, наоборот,
напряжение отстает от тока на угол
j = 90°. Поэтому вектор Uc откладываем на диаграмме
вниз под углом 90° к вектору тока.
Для определения общего
напряжения, приложенного к зажимам цепи, сложим векторы
UL и UС. Для этого отнимем от большего вектора
UL вектор
UС и получим вектор
UL-UC,
выражающий векторную сумму этих двух напряжений. Теперь сложим векторы (UL-UC) и
Ua. Суммой этих векторов будет диагональ параллелограмма
– вектор U, изображающий общее напряжение на зажимах цепи.
На основании теоремы Пифагора
из треугольника напряжений АО Б следует, что

отсюда общее напряжение

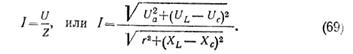
Определим полное сопротивление
цепи переменного тока, содержащей активное, индуктивное и емкостное
сопротивления. Для этого разделим стороны треугольника напряжений АОБ на число
I выражающее силу тока в цепи, и получим подобный
треугольник сопротивлений А'О'Б' (рис. 57, в). Его сторонами являются сопротивления
r, (ХL —
Хс) и полное сопротивление цепи
Z.
Пользуясь теоремой Пифагора,
можно написать, что

Отсюда полное сопротивление
цепи

Силу тока в цепи с активным,
индуктивным и емкостным сопротивлениями определяют по закону Ома:

На векторной диаграмме (рис.
57, б) видно, что в рассматриваемой цепи ток и напряжение генератора не
совпадают по фазе. Из треугольника напряжений следует, что

Из треугольника сопротивлений

<< Предыдущая |
Содержание |
Следующая >>
|