<< Предыдущая |
Содержание |
Следующая >>
Смешанное соединение сопротивлений
§ 20. СМЕШАННОЕ СОЕДИНЕНИЕ СОПРОТИВЛЕНИЙ
Если в электрической цепи приемники, соединенные
параллельно между собой, включены последовательно с другими приемниками, то
таксе соединение их называется смешанным.
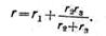
Для. определения общего, или эквивалентного,
сопротивления нескольких приемников, соединенных смешанно, сначала
находят сопротивление параллельно
или последовательно соединенных
проводников, а затем заменяют их одним проводником с сопротивлением, равным
найденному. Например, для определения сопротивления между точками а и в (рис.
19) сначала находят сопротивление между точками б и в:
а
затем складывают полученное значение сопротивления с сопротивлением
r1:

Пример. Э. д. с. генератора
120 в, внутреннее его сопротивление
r0=1
ом (рис. 19). Значения сопротивлений таковы:
r1=5 ом;
r2=10 ом;
r3
=15 ом.
Определить общее сопротивление
внешней цепи и токи в каждом сопротивлении.
Решение.
Сопротивление между точками б и
в

Сопротивление внешней цепи

Ток в цепи и в сопротивлении
r1

Напряжение между точками б и
в

Ток в сопротивлении
r2

. Ток в сопротивлении
r3

<< Предыдущая |
Содержание |
Следующая >>
|