|
назад | оглавление | вперед
5.1.2. Линейный поворотный трансформатор
Выбирая определенным образом схемы включения обмоток поворотного трансформатора, можно получить зависимость выходного напряжения от входного угла поворота, в некотором ограниченном диапазоне изменения угла поворота , близкую к линейной. Так, при желаемой точности линейной аппроксимации 0,1%, диапазон изменения угла ограничен пределами . Поэтому использовать для линейного трансформатора одну синусную обмотку нерационально.
Диапазон изменения угла от - до + , при той же точности линейной аппроксимации 0,1%, можно получить, если выходное напряжение представить в виде функции
|
,
|
(5.1.33) |
где
.
Для реализации зависимости (5.1.33) применяют две схемы соединения обмоток поворотного трансформатора: с первичным симметрированием (на статоре) (рис. 5.7а) и с вторичным симметрированием (на роторе) (рис. 5.7б).

Рис. 5.7. Схема линейного поворотного трансформатора: а) с первичной компенсацией, б) со вторичной компенсацией
В схеме первичного симметрирования линейного поворотного трансформатора (рис. 5.7а)
компенсационная обмотка замыкается накоротко, поперечный поток при этом равен . Для цепи обмоток S и C можно записать:
|
.
|
(5.1.34) |
Так как ЭДС, индуктированные в косинусной обмотке и обмотке возбуждения совпадают по фазе, то они будут складываться алгебраически. Поэтому с учетом (5.1.3) и (5.1.6) сумма
|
,
|
(5.1.35) |
откуда
|

|
(5.1.36) |
Следовательно, согласно (5.1.8) ЭДС, индуктируемая в выходной обмотке S определится выражением:
|

|
(5.1.37) |
Пренебрегая падениями напряжения в активных сопротивлениях синусных и косинусных обмоток, а также в активном сопротивлении обмотки возбуждения и принимая
|
,
|
(5.1.38) |
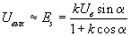
получим окончательное выражение для выходного напряжения линейного поворотного трансформатора:
|
.
|
(5.1.39) |
В линейных поворотных трансформаторах с симметрированием по первичной обмотке изменение нагрузки практически не оказывает влияния на выходное напряжение, т. е. на линейность выходной характеристики, т. к. компенсационная обмотка К компенсирует поперечный поток , а сопротивление . При изменении угла поворота ротора возникают небольшие погрешности в выходном напряжении из-за изменения тока и падения напряжения в первичном контуре.
В схеме линейного поворотного трансформатора с вторичным симметрированием (рис.5.7б) при изменении нагрузки нарушается условие симметрирования и возникают значительные отклонения от линейной зависимости. Поэтому эту схему применяют сравнительно редко.
назад | оглавление | вперед
|