|
назад | оглавление | вперед
1.5.4. Эквивалентная схема и параметры приведенного трансформатора
При расчетах необходимо сопоставить параметры первичной и вторичной цепей трансформатора. Если коэффициент трансформации велик, например, более 100, то изобразить векторные диаграммы первичной и вторичной цепей невозможно, т. к. при конкретных величинах векторов напряжении, токов и падений напряжений первичной (вторичной) цепи векторная диаграмма вторичной (цепи) вырождаются в точку. Эту проблему можно решить, если пользоваться приведенной схемой замещения трансформатора, в которой число витков вторичной обмотки равно числу витков первичной, но при этом не изменяются энергетические соотношения. Положим, что вторичная обмотка приводится к первичной, тогда
; ;
;
|
;
|
(1.33) |
; ;
|
.
|
(1.34) |
Так как реактивная мощность должна оставаться постоянной, то
;
|
.
|
(1.35) |
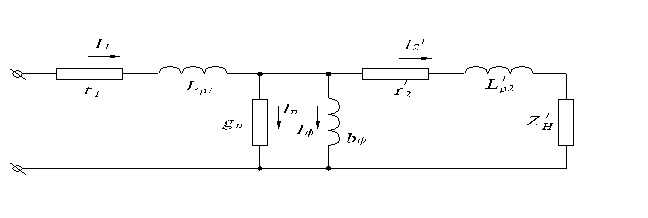
Эквивалентную схему замещения трансформатора (рис.1.20) заменяем схемой замещения приведенного трансформатора (рис.1.21).

Рис.1.20. Схема замещения трансформатора с учетом потерь в магнитопроводе.
; 

Рис.1.21. Схема замещения приведенного трансформатора с учетом потерь в магнитопроводе
назад | оглавление | вперед
|