|
назад | оглавление | вперед
1.5.1. Основные соотношения для однофазного трансформатора
Трансформатор состоит из двух или более обмоток, расположенных на общем сердечнике, который для улучшения магнитной связи между обмотками изготавливается из ферромагнитного материала (рис. 1.17а).

Рис.1.17. Устройство однофазного трансформатора (а) и его схема замещения (б)
При анализе электромагнитных процессов в катушке с сердечником мы выяснили, что при питании ее синусоидальным напряжением магнитный поток можно считать синусоидальным, несмотря на нелинейность зависимости B=f(H):
Ф=Фmsin .
Этот поток сцеплен с двумя обмотками w1 и w2 и индуцирует в них ЭДС:
;
;
E1=4,44w1fФm; E2=4,44w2fФm..
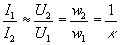
Из последних двух выражений
|
.
|
(1.23) |
Величина называется коэффициентом трансформации трансформатора.
При номинальной нагрузке КПД трансформатора достигает 98%. Это дает возможность считать одинаковыми первичную и вторичную полные мощности трансформатора:
S1=U1I1 S2=U2I2.
Тогда
. (1.24)
Как и в цепи катушки с ферромагнитным сердечником, заменим несинусоидальный ток трансформатора эквивалентным синусоидальным и, учитывая индуктивности рассеивания первичной обмотки Lр1 и вторичной обмотки Lр2:
xр1= Lр1; xр2= Lр2 ,
а также
R1 - активное сопротивление первичной обмотки;
R2 - активное сопротивление вторичной обмотки;
Zн - сопротивление нагрузки,
запишем уравнения для обеих цепей по 2-му закону Кирхгофа в комплексной форме (рис. 1.17б):
|

|
(1.25) |
назад | оглавление | вперед
|